1answer.
Ask question
Login Signup
Ask question
All categories
  • English
  • Mathematics
  • Social Studies
  • Business
  • History
  • Health
  • Geography
  • Biology
  • Physics
  • Chemistry
  • Computers and Technology
  • Arts
  • World Languages
  • Spanish
  • French
  • German
  • Advanced Placement (AP)
  • SAT
  • Medicine
  • Law
  • Engineering
tatiyna
2 years ago
9

Please help me with the below question.

Mathematics
1 answer:
Pepsi [2]2 years ago
7 0

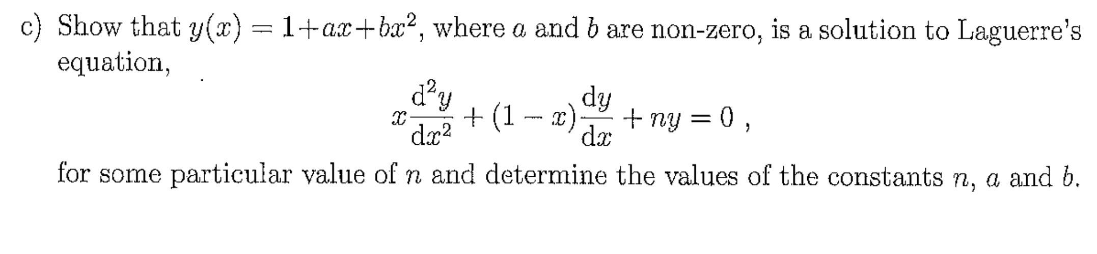
By <em>direct</em> substitution, the <em>polynomic</em> equation y(x) = 1 + a · x + b · x² represents a solution of the <em>differential</em> equation for a = - 2, b = 1/2 and n = 2.

<h3>How to analyze a differential equation</h3>

In this question we need to analyze a kind of <em>differential</em> equation known of the Laguerre's equation. <em>Differential</em> equations are equations that involves derivatives.

Now we proceed to prove if the expression y(x) = 1 + a · x + b · x² represents a solution of the Laguerre's equation:

x \cdot \frac{d^{2}y}{dx^{2}}+(1-x) \cdot \frac{dy}{dx} + n\cdot y = 0     (1)

The proof consists in substituting each term and simplify the resulting expression:

x · (2 · b) + (1 - x) · (2 · b · x + a) + n · (1 + a · x + b · x²) = 0

2 · b · x + 2 · b · x - 2 · b · x² + a - a · x + n + a · n · x + b · n · x² = 0

(- 2 · b + b · n) · x² + (4 · b - a + a · n) · x + (a + n) = 0

The following conditions must be fulfilled:

- 2 + n = 0     (1)

4 · b - a + a · n = 0     (2)

a + n = 0     (3)

By (1) and (3):

n = 2, a = -2

And by (2):

4 · b - (- 2) + (- 2) · (2) = 0

4 · b - 2 = 0

b = 1/2

By <em>direct</em> substitution, the <em>polynomic</em> equation y(x) = 1 + a · x + b · x² represents a solution of the <em>differential</em> equation for a = - 2, b = 1/2 and n = 2.

To learn more on differential equations: brainly.com/question/14620493

#SPJ1

You might be interested in
If <img src="https://tex.z-dn.net/?f=%5Cfrac%7B10%7D%7Bx%7D%20%2B%5Cfrac%7B2%7D%7Bx%7D%20%3D12" id="TexFormula1" title="\frac{10
Ber [7]

Hi

I guess that the most obvious answer is

x = 1

8 0
4 years ago
Read 2 more answers
A checker starts at square 4 of the checkerboard shown here. At any time, it can move to any diagonally adjacent square
nataly862011 [7]

Answer:

yes

Step-by-step explanation:

7 0
3 years ago
Use the Distributive Property to simplify the expression.<br><br> 8(5g+5−2) =
slamgirl [31]

Step-by-step explanation:

8(5g+3)=0

40g+24=0

40g=0-24

40g=-24

divide both sides by 40

therefore, the answer is -0.6

8 0
3 years ago
Read 2 more answers
How are secants related to chords
Fofino [41]
        Dear Gaby,
Well I would Say that <span>Any line that intersects a given circle at two different points is called a SECANT and </span><span><span>part of secant intercepted between these points is called CHORD</span> of a circle. So basically, </span><span>Both are very same. ... A Chord connects two points on the circumference of a circle. I hope I could help you my friend and Keep on Rockin'

             Wishing you some Rockin' Answers,
                                                                 Mangle</span>
4 0
4 years ago
(I need these answered asap and with work and explanation included)
erik [133]

Answer:

blue marbles - 2/9. red marbles - 3/9 = 1/3 clear marbles - 4/9. Davis got a 2/9 chance and Tessa got a 2/8 or 1/4 chance. I don't know about the last question. it might be 5/9 but I don't know sorry.

4 0
2 years ago
Other questions:
  • Complete the equation describing how x and y are related
    8·1 answer
  • Evaluate |-a2|, given a = 5, b = -3, and c = -2.<br><br> -10<br> 10<br> -25<br> 25
    12·2 answers
  • Explain why |−3| + |9| represents the distance between the points (−3, −5) and (9, −5). brainly
    5·2 answers
  • Estimate 32 to the nearest tenth
    6·2 answers
  • What is the circumference of a circle that has a radius of 10 centimeters? Round your answer to one decimal place. C = a0 cm
    9·2 answers
  • What is the perimeter formula for a polygon?<br> Formula please , not how to do it!
    12·1 answer
  • Brian invests £4900 into his bank account.
    6·1 answer
  • What is the area of the triangle above
    10·1 answer
  • Which of these consumers might depend on a rabbit for its energy?
    10·1 answer
  • Which ordered pair is a solution of the equation -4x + 7 = 2y - 3
    8·1 answer
Add answer
Login
Not registered? Fast signup
Signup
Login Signup
Ask question!