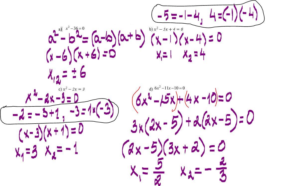
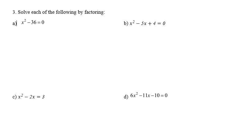
Answer:
I believe the answer would be the silver car
Step-by-step explanation:
Answer:20-2=18
Step-by-step explanation: it is 18 because 20-2 is 18
Answer: 1.06
Step-by-step explanation:
This is the answer because the price of the shoes is s, and the tax is 0.06s. The total cost of the shoes with tax is s+0.06s= 1.06s
Answer:

Step-by-step explanation:
From the question we are told that:
Table for price per Kg
Watermelon Rs 18.50
Cherry Rs 72
Grapes Rs 120.60
Apples Rs 78.40
Karan Bought:
412 kg watermelon
1 kg 200g cherries
250 g grapes
134 kg apples
Generally the equation for Total Price of Fruits Bought is mathematically given by
\sum (Price Rs* Weight kg )


Therefore the Amount of Money he gets back is


Therefore
He owes the shop keeper 2.74 million Rs