1answer.
Ask question
Login Signup
Ask question
All categories
  • English
  • Mathematics
  • Social Studies
  • Business
  • History
  • Health
  • Geography
  • Biology
  • Physics
  • Chemistry
  • Computers and Technology
  • Arts
  • World Languages
  • Spanish
  • French
  • German
  • Advanced Placement (AP)
  • SAT
  • Medicine
  • Law
  • Engineering
Goryan [66]
3 years ago
13

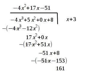
Using long division, determine if x+3 is a factor of -4x³+5x²+0x+8 and show all work.

Mathematics
1 answer:
Crazy boy [7]3 years ago
8 0
Check the picture below.

You might be interested in
The high school baseball team won 24 of its games, which was 60% of the total games played. How many games did the team play thi
GenaCL600 [577]

Answer:

40 games in total

Step-by-step explanation:

8 0
3 years ago
Given the figure above, if​
Len [333]

Answer:

67

Explanation:

the angle labeled 10 which is =113 and the angle labeled 11 are co interior angles.

co interior angles add upto 180 therefore to get the value of the angle labeled 11 you subtract 113 from 180 which gives you 67

the angle labeled 11 which is =67 and the angle labeled 8 are alternate angles. Alternate angles are equal therefore the value of the angle labeled 8 which you've been asked to give is 67

6 0
3 years ago
What does 1/2+2/3 equal
son4ous [18]

Answer:

7/6 or 1 1/6

Step-by-step explanation:

1/2+2/3 = 3/6 + 4/6 = 7/6

4 0
3 years ago
Read 2 more answers
Pleasee helppp 15 pointss pleaseee
Leviafan [203]
Let,
The first triangle with sides 7 and 3.5 be ΔABC
The second triangle with sides 3 and x be ΔCDE

ΔABC ≅ ΔCDE (they are congruent) as:
1) They have a common point C
2) ∠ABC = ∠CDE = 90° (given)

Hence we can say,

AC/CE = BC/CD

= 7/x = 3.5/3

Therefore,
x = (7*3)/3.5
= 21/3.5
= 6
Easyyy
8 0
3 years ago
Read 2 more answers
Number Machine #2
valkas [14]
25

10+4=14
14x2=28
28-3=25
8 0
3 years ago
Other questions:
  • A random sample of 100 recorded deaths in the United States during the past year showed an average life span of 71.8 years. Assu
    11·2 answers
  • First letter of word best fits a mark left after injured tissue has healed
    10·2 answers
  • A rectangle has an area of 228 ft squared and a length that measures 12 ft. Find the perimeter of the rectangle
    7·1 answer
  • What is -4x + 15 < -21
    13·1 answer
  • What is 1/5 divided by 3?
    8·2 answers
  • Pls help asap thx alot<br><br>Find the missing angle<br>​
    7·2 answers
  • What is the answer to (-5/6) x (-2 1/2) ?
    5·1 answer
  • What is the reciprocal of 5 sixths?<br><br> pls help need it ASAP
    5·2 answers
  • 98 is what percent of 56?
    6·2 answers
  • Martina begins a dive at sea level. She dives down 20 feet, and then rises 7 feet.
    8·1 answer
Add answer
Login
Not registered? Fast signup
Signup
Login Signup
Ask question!