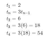
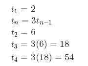
the 9th term for 4,10,16,12 is add 6
Answer:

Step-by-step explanation:
Given data
P= 45,000
rate= 18%
Recall the expression for the compound interest

Since we are talking of depreciation

Substitute

Hence the exponential function is

1081637.6 when rounded to the nearest tenth
Answer: Its a
Step-by-step explanation:
Answer:
D
Step-by-step explanation:
If y = log x is the basic function, let's see the transformation rule(s):
Then,
1. y = log (x-a) is the original shifted a units to the right.
2. y = log x + b is the original shifted b units up
Hence, from the equation, we can say that this graph is:
** 2 units shifted right (with respect to original), and
** 10 units shifted up (with respect to original)
<u><em>only, left or right shift affects vertical asymptotes.</em></u>
Since, the graph of y = log x has x = 0 as the vertical asymptote and the transformed graph is shifted 2 units right (to x = 2), x = 2 is the new vertical asymptote.
Answer choice D is right.