1answer.
Ask question
Login Signup
Ask question
All categories
  • English
  • Mathematics
  • Social Studies
  • Business
  • History
  • Health
  • Geography
  • Biology
  • Physics
  • Chemistry
  • Computers and Technology
  • Arts
  • World Languages
  • Spanish
  • French
  • German
  • Advanced Placement (AP)
  • SAT
  • Medicine
  • Law
  • Engineering
love history [14]
4 years ago
10

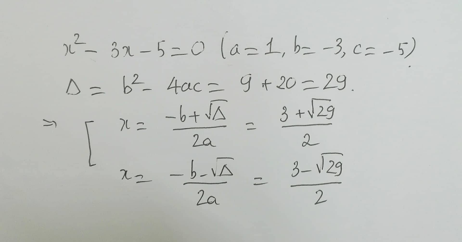
How do you solve x^2-3x-5=0

Mathematics
1 answer:
muminat4 years ago
6 0
We could solve this by calculating the delta
You can see them in may photo

You might be interested in
Tell whether the ordered pair is a solution of the equation. y = x - 5; (6, 11)​
sashaice [31]

Answer:

Not a solution

Step-by-step explanation:

y=x-5

Plug in the point (6,11)

11=6-5

11=1

11≠1

Because the left side of the equation and the right side aren't equal, the ordered pair (6,11) is not a solution to the equation y=x-5.

I hope this helps!

3 0
3 years ago
Read 2 more answers
I have chosen 1 playing card. what is the probability of being red or red ace?
Nesterboy [21]
Answer: 26/52 or 0.5 or 50%

Step-By-Step:
So since there are 52 cards in a deck and half of them are red which does include the red ace that means you have 26/52 probability. The red aces are already including in this half of the deck and sense it is an or statement we do not need to add it back into the probability.
3 0
3 years ago
Han made some hot chocolate by mixing 4 cups of milk with 6 tablespoons of cocoa.
Genrish500 [490]
1.5 cups of cocoa for every 1 cup of milk
7 0
4 years ago
All of the angles of a triangle must add up to what measure?<br> 180<br> 90<br> 45<br> 360
faltersainse [42]
180°. :)
All angles in a triangle sum to 180° proof.
3 0
3 years ago
The accompanying table shows the probability distribution for x, the number that shows up when a loaded die is rolled. Find the
ella [17]

Answer:

Mean = 3.9

Step-by-step explanation:

Given

The above table

Required

Determine the mean

The mean is calculated as thus:

Mean = Summation of x * P(x)

So, we have:

Mean = 1 * 0.14 + 2 * 0.16 + 3 * 0.12 + 4 * 0.14 + 5 * 0.13 + 6 * 0.31

Mean = 0.14 + 0.32 + 0.36 + 0.56 + 0.65 + 1.86

Mean = 3.89

Mean = 3.9 (approximated)

8 0
3 years ago
Other questions:
  • PLEASE SOMEONE HELP ME WITH THIS!!<br> I’ll mark as branliest!!
    5·1 answer
  • Which statement is true?
    15·1 answer
  • What is the distance between points D and F?<br> A. 5.4<br> B. 4.2<br> C. 3.7<br> D. 2.6
    5·2 answers
  • 16 + 28 + (-42)=? Need help
    13·2 answers
  • How do I solve this problem??
    14·1 answer
  • Matthew jarred 10 liters of jam after 5 days. How many days does Matthew need to spend making jam if he wants to jar 18 liters o
    10·1 answer
  • Which values are solutions to the inequality below? check all that apply √x &lt; 5
    8·1 answer
  • Mason pulled his hamstring while at track practice and received an MRI. His medical bills totaled
    7·1 answer
  • Answers for questions
    13·2 answers
  • What is the measure of XZW?
    7·2 answers
Add answer
Login
Not registered? Fast signup
Signup
Login Signup
Ask question!