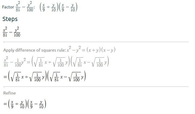
Answer:
The ordered pairs that are presented are (7, 99.5) and (3, 51.5)
Step-by-step explanation:
We are given the cost function of the carnival rides as

which is a typical linear expression of the form
where here
,
,
and
. To check if an ordered pair i.e. a point
, is represented by the table we can simply plug in the equivalent
value in the equation, and check if the result matches the
value.
So, lets assume that all points are given correctly and they are as follow:

Now let us check each point with our function as follow:
<u>Point A</u>

So point A is part of the equation.
<u>Point B</u>

So point B is NOT part of the equation.
<u>Point C</u>
<u />
<u />
So point C is part of the equation.
<u>Point D</u>
<u />
<u />
So point D is NOT part of the equation.
Answer:
45x^2-328x+124
Step-by-step explanation:
Answer:
Hello! answer: 512 cm3
Step-by-step explanation:
8 × 8 × 8 = 512 cm3
Answer:
124679 111269 134788
Step-by-step explanation:
this is the answer