1answer.
Ask question
Login Signup
Ask question
All categories
  • English
  • Mathematics
  • Social Studies
  • Business
  • History
  • Health
  • Geography
  • Biology
  • Physics
  • Chemistry
  • Computers and Technology
  • Arts
  • World Languages
  • Spanish
  • French
  • German
  • Advanced Placement (AP)
  • SAT
  • Medicine
  • Law
  • Engineering
ohaa [14]
3 years ago
14

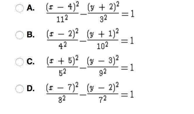
Which hyperbola’s asymptote rectangle has the greatest perimeter?

Mathematics
2 answers:
Vitek1552 [10]3 years ago
4 0

Answer:

The greatest perimeter is in (D) ⇒ the perimeter = 60 units

Step-by-step explanation:

* In the hyperbola

- The standard form of the equation of a hyperbola with

  center (h , k) and transverse axis parallel to the x-axis is

  (x - h)²/a² - (y - k)²/b² = 1

∵ the length of the transverse axis is  2a

∵ the length of the conjugate axis is  2b

∴ The perimeter of asymptote rectangle is 2(2a + 2b)

* Lets check the answers to find the greatest perimeter

A) (x - 4)²/11² - (y + 2)²/3² = 1

* Compare it with the standard form equation

∵ a = 11 ⇒ 2a = 22

∵ b = 3 ⇒ 2b = 6

∴ The perimeter = 2(22 + 6) = 56

B) (x - 2)²/4² - (y + 1)²/10² = 1

* Compare it with the standard form equation

∵ a = 4 ⇒ 2a = 8

∵ b = 10 ⇒ 2b = 20

∴ The perimeter = 2(8 + 20) = 56

C) (x + 5)²/5² - (y - 3)²/9² = 1

* Compare it with the standard form equation

∵ a = 5 ⇒ 2a = 10

∵ b = 9 ⇒ 2b = 18

∴ The perimeter = 2(10 + 18) = 56

D) (x - 7)²/8² - (y - 2)²/7² = 1

* Compare it with the standard form equation

∵ a = 8 ⇒ 2a = 16

∵ b = 7 ⇒ 2b = 14

∴ The perimeter = 2(16 + 14) = 60

* The greatest perimeter is in (D)

vaieri [72.5K]3 years ago
4 0

Answer:

d

Step-by-step explanation:

You might be interested in
Write an equation of a line that is parel to 3/4x + 1 and passes through the point (4, -2).
Alenkinab [10]

Parallel lines have the same slope.

We have the line y = 3/4x + 1.

Then the equation of a parallel line is y = 3/4x + b.

The line passes through the point (4, -2). Put the coordinates of the point to the equation of a line:

-2 = 3/4(4) + b

-2 = 3 + b      <em>subtract 3 from both sides</em>

-5 = b

<h3>Answer: y = 3/4x - 5</h3>
7 0
4 years ago
What is the value of sinθ given that (3, −7) is a point on the terminal side of θ ? −758√58 758√58 358√58 −358√58?
Svetach [21]

Answer:

\boxed{\sin(\theta)=-\frac{7}{58}\sqrt{58}}

Step-by-step explanation

The given point (3,-7) tells us that the terminal side of \theta is in the fourth quadrant.


From the diagram in the attachment,

We can use the Pythagoras Theorem to find the length of the hypotenuse of the right triangle.

Let the hypotenuse be h\: units. Then,

h^2=7^2+3^2


h^2=49+9


h^2=58


\Rightarrow h=\sqrt{58}


Now we use the sine ratio;


\sin(\theta)=\frac{Opposite}{Hypotenuse}.


But since the terminal side of \theta is in the fourth quadrant, the sine ratio must be negative.


This implies that;


\sin(\theta)=-\frac{7}{\sqrt{58}}.


We rationalize the denominator to get;


\sin(\theta)=-\frac{7}{58}\sqrt{58}.




3 0
3 years ago
1 Select the correct answer. What is the range of g(x) = 3|x-1| - 1? O A (-00, 1] В. [-1,00) C. [1,00) D. (-00,00)​
Debora [2.8K]
I think it’s the first one
6 0
3 years ago
Read 2 more answers
The sum of 3 times a number and -4 is at least twice the number plus 8
icang [17]
3x - 4 > 2x + 8

3x - 2x > 8 - 4

x > 4
5 0
3 years ago
Read 2 more answers
12y+d=−19y+t solve for y?
sergij07 [2.7K]
Without values for the other variables, I assume you're asking for a literal equation.

12y+d=-19y+t
31y+d=t
31y=-d+t
y=(-d+t)/31
8 0
3 years ago
Read 2 more answers
Other questions:
  • The sum of a number and five is at least 5?
    13·1 answer
  • What is the value of the 8 in the number 837,164 compaired to the number 4,508
    15·1 answer
  • What is Five hundred million,one hundred fifteen written in standard form?
    12·2 answers
  • Which table shows a negative correlation?
    9·1 answer
  • WILL GIVE BRAINLIEST ANSWER TO THE FIRST PERSON TO ANSWER CORRECTLY!
    6·2 answers
  • Can someone please help me find the answer to this ?
    7·2 answers
  • 1. A car travels 100 miles is 3 hours (with a constant speed). How far will it
    10·1 answer
  • Real talk shhhh
    15·1 answer
  • Determine the lateral and surface area of each triangular prism<br><br><br>​
    9·1 answer
  • Try to say m without using Ur lips ( its impossible) if u can do that u will get a brainliest
    10·1 answer
Add answer
Login
Not registered? Fast signup
Signup
Login Signup
Ask question!