1answer.
Ask question
Login Signup
Ask question
All categories
  • English
  • Mathematics
  • Social Studies
  • Business
  • History
  • Health
  • Geography
  • Biology
  • Physics
  • Chemistry
  • Computers and Technology
  • Arts
  • World Languages
  • Spanish
  • French
  • German
  • Advanced Placement (AP)
  • SAT
  • Medicine
  • Law
  • Engineering
Radda [10]
4 years ago
14

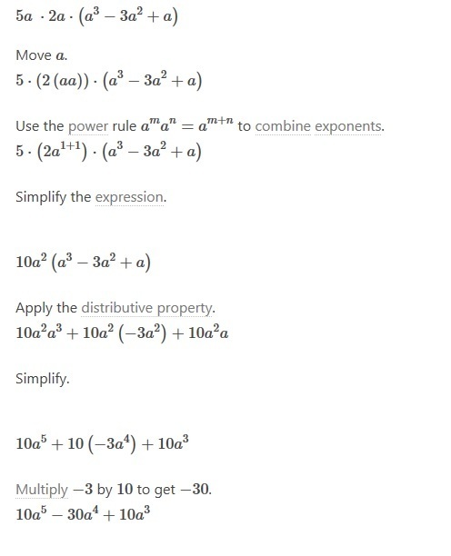
A rectangular prism has the following dimensions: l = 5a , w = 2a ,

Mathematics
1 answer:
Bess [88]4 years ago
8 0
See picture for answer

You might be interested in
How to do ratio questions
Gre4nikov [31]

Answer:

First you need to identify what the known ratio and and the unknown one

Then you need to setup the proportion.

After that cross multiply and then solve

Lastly check your answer by plugging the result into the unknown ratio and you should get your answer.

5 0
4 years ago
If 1 kg is equivalent to 1.000g then 8.500g is 8.5kg?
Tcecarenko [31]

Answer:

too

Step-by-step explanation:

hhsihwhsusqioshsisjwk shshsusbsoosjs

8 0
3 years ago
An object moves at a constant rate along a circular path with radius 10 inches, and makes 3 revolutions in 2 seconds.
Neko [114]

Answer:

94.28 inches/second.

Step-by-step explanation:

The length of the circumference of the circular path with 10 inches radius is = 2\pi r = 2 \times \frac{22}{7} \times 10 = 62.85 inches.

Now, the point on the edge of the wheel moves by 3 revolutions in 2 seconds.

So, in 2 seconds the point moves a linear distance of (3 × 62.85) = 188.57 inches.

Therefore, the linear velocity of the point in inches per second is \frac{188.57}{2} = 94.28  inches per second.

(Answer)

8 0
3 years ago
Read 2 more answers
Fractions pt 3 cause lazy
Sloan [31]
5/6 + 17/2 = 56/2 = 28
11/6 + 11/6 = 22/6 = 3 4/6 = 3 2/3
6 0
3 years ago
Read 2 more answers
Please help me out on this one
xenn [34]

9514 1404 393

Answer:

  yes, yes, no; No

Step-by-step explanation:

We have to assume you have no trouble with single-digit addition and comparison of two numbers.

  3+4 > 1   ⇒   7 > 1 . . . . yes

  4+1 > 3   ⇒   5 > 3 . . . . yes

  3+1 > 4   ⇒   4 > 4 . . . . no

These lengths will not make a triangle because the triangle inequality is <em>not satisfied</em>.

_____

<em>Additional comment</em>

You will notice that we found the result of interest when we added the two smallest numbers (1 and 3) and compared the sum to the largest number (4). This is a shortcut you can use for any "will these make a triangle" question. You don't need to bother comparing larger numbers to smaller ones. You already know they are larger.

5 0
3 years ago
Other questions:
  • A quadrilateral has interior angle measures of 64°, 88°, and 147°. What is the measure of the fourth interior angle in the quadr
    7·1 answer
  • Wat are the values of X and Y ?
    7·1 answer
  • Write and solve an equation to find the unknown angle.
    11·1 answer
  • What is 1/2 in decimal form
    6·2 answers
  • What are the slopes ?
    5·1 answer
  • I really need help on this
    11·1 answer
  • ASAP ONE MORE BRAINLIEST
    9·2 answers
  • Lol. Try this question.
    7·2 answers
  • Need a littile help plz help me :)
    5·1 answer
  • If −x+5y=7 is a true equation, what would be the value of -2(-x+5y)
    9·1 answer
Add answer
Login
Not registered? Fast signup
Signup
Login Signup
Ask question!