The correct answer for the question that is being presented above is this one: "A. Quadrilateral KJFG was rotated 90° counterclockwise around the origin and then translated 8 units down." Quadrilateral KJFG is congruent to quadrilateral K ' J ' F ' G '.
Four because 90+90+90+90 = 360, which is the angle f a circle
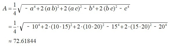
SOLUTION
We will use the formula

Applying we have

Now using a Zscore calculator for 1.370320, we have
P(xHence the answer is 0.9147
Answer:
The difference is 8.56 cm. ( the metre is longer than the yard).
Step-by-step explanation:
1 yard = 36 inches
= 36 * 2.54
= 91.44 cm
1 metre = 100 cm.
Hope this helps
Perimeter=Side a+Side b+Side c