Answer:
Standard deviation of the data is 1.6.
5% of the data is either less than 4.2 or more than 11.4.
Step-by-step explanation:
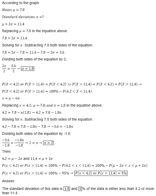
We have been given an image of normally distributed data.
We can see that mean of our given data is 7.8 and 11.4 is 2 standard deviation above the mean. So to find the standard deviation of our given data we will subtract the 7.8 form 11.4 and divide the result by 2.



Therefore, the standard deviation of our given data is 1.8.
According to the 68-95-99.7 rule approximately 68% of the data is one standard deviation away from the mean. Approximately 95% of data is 2 standard deviation away from the mean. Approximately 99.9% of data is 3 standard deviation away from the mean.
We will use z-score formula to solve the second part of our given problem.
, where,
,
,
,
.
Let us find the z-score corresponding to raw score 4.2.



So the raw score 4.2 is 2 standard deviation below mean and 11.2 is 2 standard deviation above mean. This means that we need to figure out the data above and below 2 standard deviation the mean.
Since 95% is data is 2 standard deviation away from mean, so 5% (100%-95%) data is either less than 4.2 or more than 11.4.