1answer.
Ask question
Login Signup
Ask question
All categories
  • English
  • Mathematics
  • Social Studies
  • Business
  • History
  • Health
  • Geography
  • Biology
  • Physics
  • Chemistry
  • Computers and Technology
  • Arts
  • World Languages
  • Spanish
  • French
  • German
  • Advanced Placement (AP)
  • SAT
  • Medicine
  • Law
  • Engineering
mars1129 [50]
3 years ago
10

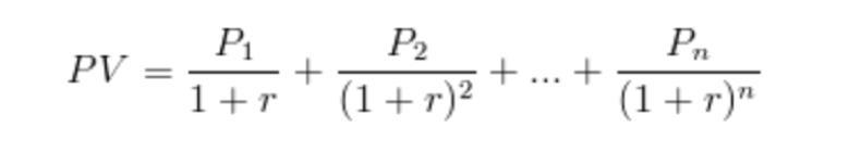
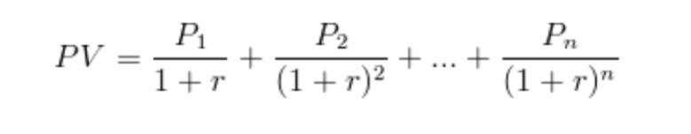
CNP, Inc. is considering a project that will produce cash inflows of $12,000 in year one, $27,600 in year two, and $48,100 in ye

ar three. What is the present value of these cash inflows if the company assigns the project a discount rate of 10.5 percent?
a. $69,113.58
b. $64,999.91
c. $76,370.51d. $58,372.13
e. $71,824.90

Business
1 answer:
Brilliant_brown [7]3 years ago
4 0

Answer:

a. $69,113.58

Explanation:

Present value can be found by discounting the cash flows at the discount rate.

Present value can be calculated using a financial calculator:

cash flow for year 1 = $12,000

cash flow for year 2 = $27,600

cash flow for year 3=$48,100

Discount rate = 10.5%

Present value = $69,113.58

I hope my answer helps you

You might be interested in
what is the total stockholders equity based on the following account balances common stock 850000 paid in capital in excess of p
Nat2105 [25]

Answer:

the total stockholder equity is $900,000

Explanation:

The computation of the total stockholder equity is shown below;

= Common stock + paid in capital in excess of par

= $850,000 + $50,000

= $900,000

We simply added these two amounts so that the correct amount could come

hence, the total stockholder equity is $900,000

As these two amount increased the equity

3 0
3 years ago
Power Drive Corporation designs and produces a line of golf equipment and golf apparel. Power Drive has 100,000 shares of common
Galina-37 [17]

Answer and Explanation:

The Preparation of statement of stockholders’ equity is shown below:-

                  <u> Statement of Stockholder's Equity</u>

<u>                          Power Drive Corporation</u>

<u>                For the year ended December 31, 2018</u>

<u>Particulars      Common   Additional    Retained   Treasury   Total</u>

<u>                           stock        paid in          Earning       Stock    Stockholder</u>

<u>                                            capital                                                equity</u>

Jan 1 Balance  100,000  $4,800,000 $2,300,000   0       $7,200,000

Issued common

stock                58,000    $3,132,000      0                 0       $3,190,000

                (58,000 × $1) (58,000 × $54)

Purchase treasury

stock                                                                    -$307,400 -$307,400

                                                                               (5,300 × $58)

Dividends                                              -$251,955                -$251,955

                                        ((100,000 + 58,000 - 5,300) × $1.65)

Sale of Treasury

stock                                  $13,250                       $153,700   $166,950

                                     (2,650 × $5)                   (2,650 × $58)

Net Income                                              $630,000                $630,000

Balance,

December

31            158,000    $7,945,250   $2,678,045  -$153,700 $10,627,595

Total Stockholder's equity  is

= Common stock + Additional paid in capital + Retained earnings - Treasury stock

= 158,000  + $7,945,250  + $2,678,045  - $153,700

= $10,627,595

8 0
4 years ago
Michael mixed three colors of paint and came up with black. this is an example of
rosijanka [135]

<span>Michael mixed three colors of paint and came up with black. this is an example of subtractive color mixing. When you mix together subtractive colors eventually the light is subtracted from them giving off a black color tone. These colors change with the light but can cancel each other out easily. </span>

5 0
3 years ago
The evaluation process of creative outputs is usually subjective; the advertising or brand manager relies on qualitative conside
timama [110]

Answer:

true

Explanation:

  • The process of evaluation of a creative product is usually subjective; The advertising or brand manager relies on qualitative considerations for evaluation.
  • Evaluation is the process of critically evaluating a program. It collects and analyzes information about the program's activities, characteristics and outcomes. Its purpose is to make decisions about the program, improve its effectiveness, and inform programming decisions

7 0
3 years ago
Which of the following is an expense of this period? Multiple Choice Costs of items paid for in this period but used up next per
OleMash [197]

Answer: Costs of items used up this period but paid for next period

Explanation:

Period Expenses for the period are transactions that should be expensed because they were used in the current period.

Therefore if a period cost is not used in the period, it is not considered a period cost even if the company pays for it in the current period which also means that if a period cost for the period is not paid in the current period but in the next one, it is still a period cost for the current period.

From the above therefore, the period cost is the cost of items used up in this period but paid for in the next one.

The land purchased might look like the obvious choice but it is not because Assets are capitalised and not expensed.

7 0
3 years ago
Other questions:
  • During the last few decades in the United States, health officials have argued that eating too much beef might be harmful to hum
    7·1 answer
  • Why might an accountant user not see the Exceptions to closing date report in a Quickbooks online company
    7·1 answer
  • Difference between a will and a living trust
    15·1 answer
  • Your investor client is interested in looking at commercial property. An available strip mall has an effective gross income of $
    9·1 answer
  • At the end of January, Mineral Labs had an inventory of 735 units, which cost $8 per unit to produce. During February the compan
    9·1 answer
  • Suppose the direct quote for sterling in New York is 1.3110-5. Then the direct quote for dollars in London is:________.
    5·1 answer
  • The owner's drawing account has a balance of $275. The correct entry to close the drawing account would be to debit:
    15·1 answer
  • Ebdino, a company that manufactures tires, observes that the sales of its traditional tires have declined drastically and that t
    5·1 answer
  • Managerial coordination refers to the
    6·1 answer
  • This is a piece of information that is used to support a main idea. definition
    14·2 answers
Add answer
Login
Not registered? Fast signup
Signup
Login Signup
Ask question!