1answer.
Ask question
Login Signup
Ask question
All categories
  • English
  • Mathematics
  • Social Studies
  • Business
  • History
  • Health
  • Geography
  • Biology
  • Physics
  • Chemistry
  • Computers and Technology
  • Arts
  • World Languages
  • Spanish
  • French
  • German
  • Advanced Placement (AP)
  • SAT
  • Medicine
  • Law
  • Engineering
Fittoniya [83]
3 years ago
15

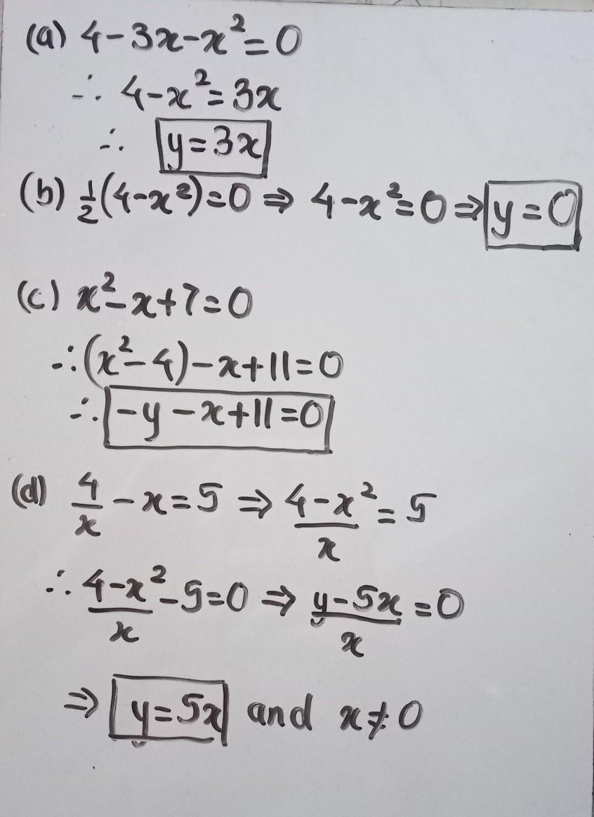
Plz help !!

Mathematics
1 answer:
Citrus2011 [14]3 years ago
6 0

If your teacher/book requires a standard form for the equation of a line, don't forget to convert the equations into them!

You might be interested in
A figure in the second quadrant is reflected over the y-axis. In which quadrant will the reflected figure appear?
jeka94

Answer:

The first quadrant

Step-by-step explanation:

7 0
2 years ago
What is the point and slope of the line represented by the equation below y-4=-5(x+3)
Vedmedyk [2.9K]
The slope is -5.
The point is (-3, 4)
The formula for point slope form is
y-y1=m(x-x1) where y1 and x1 are the coordiantes of the point and m is the slope.
This shows that the y coordinate is positive and the x coordinate is negative.
May seem counterintuitive. So just flip signs that you see in formula to make the actual point if you are confused.
7 0
4 years ago
Put the numbers from least to greatest. The numbers are 4.754, 4.752, 5.19, 5.75
DerKrebs [107]
4.754,4.752,5.19,5.75<<<<<<<<<<<<<<<<<<<<
4 0
3 years ago
Read 2 more answers
What does this mean: 70°20'
timurjin [86]
70 degrees, 20 minutes.   It's an angle measure in Degrees-Minutes-Seconds(DMS) instead of Decimal Degrees (DDS). DMS is commonly used in engineering, land survey and navigation for ships and planes.  

There are 60 seconds in one minute and 60 minutes in one degree.
So 70°20' is = 70\frac{20}{60}deg \approx70.33deg
8 0
4 years ago
The flower shop has 40 times as many flowers in the cooler as Kendall has in her bouquet. Kendall has 15 flowers. How many flowe
user100 [1]

Answer:

tu debes de saber las respuestas por qué tú estás como en onceavo

3 0
3 years ago
Other questions:
  • Which is greater 3% or 0.3
    8·2 answers
  • In Melanie's Styling Salon, the time to complete a simple haircut is normally distributed with a mean of 25 minutes and a standa
    14·1 answer
  • , Mr 77 i 3. Nick gets out of school at 2:25 PM. He has a ride home on the bus. j Next he goes on a 30-minute bike 1 ride. Then
    7·2 answers
  • Plzzz help don’t understand plz explain
    12·1 answer
  • Convert each equation to standard form y-5=-3(x+2)​
    11·2 answers
  • Rosita earns money by walking dogs after school and on weekends.She walks Madeline every other day,buddy every fourth day,and er
    10·1 answer
  • What is 8.35 rounded
    10·2 answers
  • mr smith owns a lot of valued at 12000. It is assessed at 80% of it value. how much tax does he pay if the tax rate if 1.5% of t
    13·1 answer
  • A truck is 44 feet long how many of these truck lengths would it take to make a mile
    11·2 answers
  • A quilt pattern of a dog is shown. Choose the best answer.
    13·1 answer
Add answer
Login
Not registered? Fast signup
Signup
Login Signup
Ask question!