1answer.
Ask question
Login Signup
Ask question
All categories
  • English
  • Mathematics
  • Social Studies
  • Business
  • History
  • Health
  • Geography
  • Biology
  • Physics
  • Chemistry
  • Computers and Technology
  • Arts
  • World Languages
  • Spanish
  • French
  • German
  • Advanced Placement (AP)
  • SAT
  • Medicine
  • Law
  • Engineering
serious [3.7K]
4 years ago
14

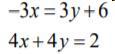
PLZ HELP, GIVING BRAINLIEST

Mathematics
2 answers:
labwork [276]4 years ago
6 0

Answer:

I think they are perpendicular

Step-by-step explanation:

soldi70 [24.7K]4 years ago
6 0
Perpendicular is what they are
You might be interested in
Select the graph and the description of the end behavior of f(x) = x3 − 2.
Umnica [9.8K]
Hello here is a solution : 

8 0
4 years ago
Ten people go to a party. how many dierent ways can they be seated at a round table?
bezimeni [28]
10 people can be sat in a round table then their are ten different ways to be seated
6 0
3 years ago
Where can the bisectors of the angles of an obtuse triangle intersect?
goldenfox [79]
I only. It is only inside the triangle.
6 0
4 years ago
Read 2 more answers
at a particular college 2/5 of the students take a math class. Of these students 1/4 take basic algebra. WHat fraction of the st
ikadub [295]
-4.9 thats your answer
4 0
3 years ago
Tawanna is asked to find the GCF of each term in the expression 2 a b + 8 b. Her work is shown below.
deff fn [24]

Answer:

Tawanna should have used each common factor once.

Step-by-step explanation:

Tawanna is asked to find the GCF of each term in the expression 2 a b + 8 b.

Factors of 2ab: 1, 2, a, and b

Factors of 8b: 1, 2, 4, 8, and b

GCF: (1) (1) (2) (2) (b) (b)

GCF = Greatest common factor

She has calculated the GCF incorrectly as she should use each common factor once only. But she has taken all the common factors twice which is wrong.

Hence, the error in Tawanna’s solution is that "Tawanna should have used each common factor once.". Hence, the correct option is (c).

8 0
3 years ago
Read 2 more answers
Other questions:
  • . Eric earns $7.50 per hour working at a grocery store. The total amount of money he
    9·1 answer
  • A square has an area of 110 square units. What is the approximate length of each side? Explain.
    6·1 answer
  • What is the value of r in the equation?<br> -1.5(4-r) = -12
    5·1 answer
  • A boy is 10 m whereas a girl is 9 m less,wat is the height of the girl?
    11·2 answers
  • In his free time, Gary spends 7 hours per week on the Internet and 8 hours per week playing video games. If Gary has five hours
    5·1 answer
  • 4150 people show up to watch the tiger eat on most days. Today there were 15% few people. How many people were there today? PLSS
    13·1 answer
  • Find the indicated values by using the graph.
    7·1 answer
  • 9 less than the product is 7 and x is 75..
    9·1 answer
  • Helpppp pleaseee I need the answer for this question please.
    8·2 answers
  • Sebastian is producing shareholder reports. He is deciding whether or not Bendolix White stationery can be used.
    14·1 answer
Add answer
Login
Not registered? Fast signup
Signup
Login Signup
Ask question!