1answer.
Ask question
Login Signup
Ask question
All categories
  • English
  • Mathematics
  • Social Studies
  • Business
  • History
  • Health
  • Geography
  • Biology
  • Physics
  • Chemistry
  • Computers and Technology
  • Arts
  • World Languages
  • Spanish
  • French
  • German
  • Advanced Placement (AP)
  • SAT
  • Medicine
  • Law
  • Engineering
VikaD [51]
3 years ago
12

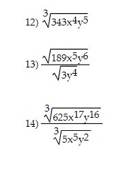
Math HW, simplify radical expressions, show all work.

Mathematics
1 answer:
Ivahew [28]3 years ago
7 0

Answer:

12.  7xy ∛(xy^2)

13.  3x^2|y| sqrt(7x)  

14. 5  x^4   y ^4 y ∛(y^2)

Step-by-step explanation:

12.  (343 x^4y^5) ^ 1/3

separate  

343^1/3  x^4 ^ 1/3    y^5 ^ 1/3

using the power of power we can multiply the powers

343 ^ 1/3  x^ 4/3  y ^ 5/3

simplify

7   x^ 4/3  y ^ 5/3

if the power is greater than 1 we can split it

7 x x^ 1/3  y y ^ 2/3

7xy ( xy^2 ) ^ 1/3

7xy ∛(xy^2)


13.  (189 x^5y^6)^ 1/2/(3y^4)^ 1/2

combine

( (189 x^5y^6)/(3y^4))^ 1/2

(189/3  * x^5 * y^6/y^4) ^ 1/2

when we divide exponents with the same base, we subtract the exponent

(63 * x^5 * y^2) ^ 1/2

split

63 ^ 1/2   x^ 5 ^ 1/2  y ^ 2 ^ 1/2

sqrt (63) * sqrt * (x^5) * sqrt(y^2)

sqrt(9*7) sqrt( x^4 *x)  * sqrt(y^2)

sqrt(9) * sqrt(7)  sqrt(x^4) sqrt(x)  sqrt(y^2)

we need to make sure to take the positive value of sqrt(y^2)

3sqrt(7)  x^2  sqrt(x)  | y|  

3x^2|y| sqrt(7x)  


14.  (625 x^17 y^16) ^1/3  / (5 x^5 y^2) ^ 1/3

combine

(625 x^17 y^16  / 5 x^5 y^2) ^ 1/3

(625/5 * x^17/x^5   * y^16/y^2) ^ 1/3

when we divide exponents with the same base, we subtract the exponent

(125 x^(17-5)  y^(16-2)) ^ 1/3

(125 x^12 y ^ 14) ^ 1/3

split

125 ^ 1/3   x^ 12 ^ 1/3    y^ 14 ^ 1/3

power to the power ( multiply the power)

125 ^ 1/3 x^ 4 y ^ 14/3

5  x^4 y ^ 14/3

if the power is greater than 1 we can split it

5  x^4   y ^4 y ^2/3

5  x^4   y ^4 y ∛(y^2)

You might be interested in
What is the quotient
Leni [432]

The awnser is 9

This is correct.

-3 * -3 = 9

5 0
4 years ago
Read 2 more answers
Marylee flew 630 miles in 120 minutes. How many miles per minute did she fly
g100num [7]

630 divided by 120 equals 5.25

8 0
3 years ago
Read 2 more answers
Jesse takes two data points from the weight and feed cost data set to calculate a slope, or average rate of change. A rat weighs
brilliants [131]

Answer:

The slope is  s = $0.1774 / pounds

Step-by-step explanation:

From the question we are told that

   The weight of the rat is w_1 =  3.5 \ pound

     The cost of feeding the rat per week is c_1 =$4.50

     The weight of a Beagle is  w_2 =  30 \ pound

     The cost of feed a Beagle per week is  c_2 =$9.20

Now the slope can be evaluated mathematically as

           s =  \frac{c_2 -c_1 }{w_2 -w_1 }

substituting values

            s =  \frac{9.20 -4.50 }{30 -3.5 }

           s = $0.1774 / pounds

5 0
3 years ago
Carl drew this net for a wooden shed that he will build. He wants to protect the wood against the weather by using a sealant on
mylen [45]

Answer:

567 sq feet

Step-by-step explanation:

5 0
3 years ago
Which of the following pair of right triangles cannot be proven to be congruent? Select all that apply.
tiny-mole [99]

its b       !!!!!!!!!!!!!!!!!!!!!!!!!!!!!!!!!!!!!!!!!!!!!!!!!!!!!!!!!!!!!!!!!!!!!!!!!!!!!!!!!!

7 0
3 years ago
Read 2 more answers
Other questions:
  • Katrina, Jackie, and Molly are making crafts for the craft fair. Katrina has 3/10
    8·1 answer
  • Loc weighs 14 pounds. The HCP prescribes an IV infusion of 5% dextrose in 1/4 normal saline to be infused at 8mL/kg/hr. How many
    8·1 answer
  • the distance around the lake is 0.75 miles. Derek ran 0.8 of the distance on saturday. how far did he run?
    8·1 answer
  • Please help with this
    10·1 answer
  • PLEASE HELP I WILL BRAINLIST
    11·2 answers
  • Find tanθ + sinθ for the angle below.
    7·1 answer
  • Harry's math test scores are listed below. 95, 90, 85, 40, 100, 100, 85, 90 Which measures of central tendency most closely desc
    11·1 answer
  • . <br> WHERE ALL MY FNAF FANS AT WHO IS YOUR FAVORITE OUT OF THEM ALL PICK ATLEAST 3
    15·1 answer
  • a rectangle is 12 feet long and 5 feet wide. if the length of the rectangle is increased by 25% and the width is decreased by 20
    14·1 answer
  • Given the following equation, what is the value of x? *
    12·1 answer
Add answer
Login
Not registered? Fast signup
Signup
Login Signup
Ask question!