1answer.
Ask question
Login Signup
Ask question
All categories
  • English
  • Mathematics
  • Social Studies
  • Business
  • History
  • Health
  • Geography
  • Biology
  • Physics
  • Chemistry
  • Computers and Technology
  • Arts
  • World Languages
  • Spanish
  • French
  • German
  • Advanced Placement (AP)
  • SAT
  • Medicine
  • Law
  • Engineering
Anna11 [10]
3 years ago
10

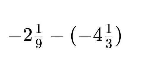
Pleas help me.simplify​

Mathematics
2 answers:
Lemur [1.5K]3 years ago
6 0

Answer:

Mixed number form: 2 2/9  Decimal form: 2.2 (with a line over the second 2 it means it repeats its self for infinity) Exact form: 20/9

Step-by-step explanation:

-2 1/9- (-4 1/3)

Find a common denominator

-2 1/9 - (-4 3/9)

= 2 2/9

Viktor [21]3 years ago
4 0

Answer:

20/9     2.2     2 2/9

hope this helps

You might be interested in
Please help it is due tomorrow I suck at math homework please hellp
Helen [10]

11a) False. If you simplify 8/30 you get 4/15 not 2/15.

11b) False. If you simplify 6/15, you get 2/5 not 3/5.

11c) true. 5/15 can be simplified to 1/3.

3 0
4 years ago
Find y.<br><br> y - 4 = 3x - 5y
Vlad [161]
Answer:
y = -1 + -0.75x
explanation:
7 0
3 years ago
Read 2 more answers
HELP ASAP<br><br><br><br> -5 - k = -12<br> K=?
alexandr1967 [171]
The answer is K= 7 because
-5-7=-12
6 0
3 years ago
Read 2 more answers
What is equivalent to 3x-4y=6
Andreyy89

Answer:

y= (3/4) x - (3/2)

Step-by-step explanation:

3x - 4y = 6 (using algebra add the 4y to the other side & subtract the 6 to the other side >> 3x - 6 = 4y (then divide everything by 4 to get y by itself) >> 3/4x - 6/4 = y (then simplify) >> 3/4x - 3/2 = y

6 0
3 years ago
What is the prime factorization of 420?
a_sh-v [17]

we have the factors 2 x 2 x 3 x 5 x 7 = 420. It can also be written in exponential form as 22 x 31 x 51 x 71.

Step-by-step explanation:

6 0
3 years ago
Read 2 more answers
Other questions:
  • Help me plz I need help
    11·1 answer
  • What is -3/2 times (-5 1/4)
    13·1 answer
  • Write an equivalent expression for 36 divided by [-9] [-5]?
    5·1 answer
  • A tire company hopes to adopt a new tread pattern for its tires if the pattern allows a car traveling at 60 miles per hour to co
    8·1 answer
  • How much will Emily pay for the backpack after the discounts?
    5·2 answers
  • Put the number by which one you answer and don't put nothing if you don't know it please
    9·1 answer
  • Find three rational number between • -1 and -2 • 0.1 and 0.11
    11·1 answer
  • A large chocolate bunny costs $2.07. Chris only has $1.12. How much more money does Chris need in order to buy the bunny?
    14·1 answer
  • Only part B and C . please help.​
    7·1 answer
  • Johns family has $12 to spend after buying tickets to the Aquarium. Parking costs $3 an hour.
    15·1 answer
Add answer
Login
Not registered? Fast signup
Signup
Login Signup
Ask question!