1answer.
Ask question
Login Signup
Ask question
All categories
  • English
  • Mathematics
  • Social Studies
  • Business
  • History
  • Health
  • Geography
  • Biology
  • Physics
  • Chemistry
  • Computers and Technology
  • Arts
  • World Languages
  • Spanish
  • French
  • German
  • Advanced Placement (AP)
  • SAT
  • Medicine
  • Law
  • Engineering
Andru [333]
4 years ago
13

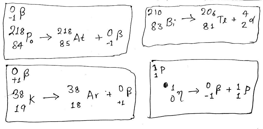
Determine the particle that balances the equation. drag the appropriate items to their respective bins. view available hint(s) r

eset help 0 −1 β 38 19 k → 38 18 ar+x 4 2 α 218 84 po → 218 85 at+x 0 +1 β 210 83 bi → 206 81 tl+x 1 0 n 1 0 n → 0 −1 β+x

Mathematics
1 answer:
Law Incorporation [45]4 years ago
8 0

Answer:

Check the attached image below.

Step-by-step explanation:

Kindly check the attached image to get the step by step solution to the question above.

You might be interested in
Find the equation of a line parallel to 5x+y=5 that passes through the point (8,-9)
fgiga [73]

Answer:

y+5x=31

Step-by-step explanation:

m=-5( coefficient of x wen y is subject)

y-y1=m(x-x1)

y+9=-5(x-8)

y+9=-5x+40

y+5x=40-9

y+5x=31

7 0
2 years ago
I need help please and thank you
Vesnalui [34]

Answer:

N= 5

If line D is equal to 4 while E(?) is equal to 8 then it is half of the bigger number

4 0
4 years ago
I neeeeed heeeeeeeeeeelp​
xenn [34]
The answer is C for that question
3 0
3 years ago
Read 2 more answers
On a coordinate plane, solid circles appear at the following points: (negative 5, negative 3), (negative 4, negative 4), (negati
7nadin3 [17]

Answer:

(1 , 3) B.)

Step-by-step explanation:

8 0
3 years ago
Read 2 more answers
Solve the inequality 2x - 3 > 7*
ser-zykov [4K]

Answer:

2x - 3 > 7

2x > 7 + 3

2x > 10

x > 10/2

x > 5

8 0
3 years ago
Other questions:
  • the shortest adult women is 24 inches tall. the tallest adult women is 92 inches tall. write and absolute value equation to repr
    15·1 answer
  • In three to four sentences,define price discrimination and give one example
    14·2 answers
  • What is the value of x? 10 15 30 45
    15·2 answers
  • William put $52.00 in a bank account that gains 25% interest annually. How much interest will be inculcated in a year?
    15·1 answer
  • What is the slope of a 138 vertical slope
    6·1 answer
  • Solve -5 + w/3 = -1 <br> 12<br> -12<br> 2<br> -2
    9·2 answers
  • Question 7 (10 points) Given f(x)=(x−2)2(x−4)2 , determine a. interval where f(x) is increasing or decreasing, b. local minima a
    8·1 answer
  • Write a real world situation that can be represented by the equation 2(n+20)=110.
    8·1 answer
  • Tacoma's population in 2000 was about 200 thousand, and has been growing by about 9% each year. If this
    15·2 answers
  • Good night everyone : )
    12·1 answer
Add answer
Login
Not registered? Fast signup
Signup
Login Signup
Ask question!