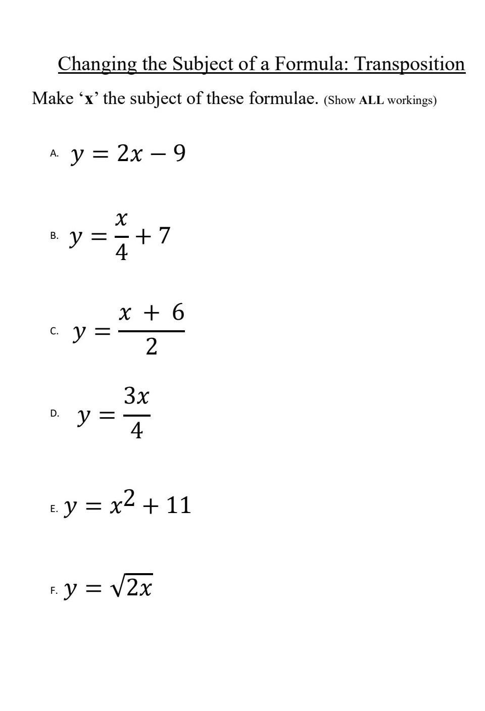
When we make the x the subject, we are "solving for x"
A. x =
y + 4
Given: y = 2x - 9
Add 9 to both sides (flipping the equation, but it is still equivalent): 2x = y + 9
Dividing both sides by 2: x =
y + 4
B. x = 4y - 28
Given: y =
+ 7
Subtract 7 from both sides: y - 7 = 
Multiply both sides by 4 (flipping the equation, but it is still equivalent): x = 4y - 28
C. x = 2y - 6
Given: y = 
Multipy both sides by 2: 2y = x + 6
Subtract 6 from both sides of the equation (flipping the equation, but it is still equivalent): x = 2y - 6
D. x =
y
Given: y = 
Multiply both sides by 4 (flipping the equation, but it is still equivalent): 3x = 4y
Divide both sides by 3: x =
y
E. x = 
Given: y = x² + 11
Subtract 11 from both sides: y - 11 = x²
Square root both sides (flipping the equation, but it is still equivalent): x = 
F. x =
y²
Given: y = 
Square both sides: y² = 2x
Flip the equation (still equal) and divide both sides by 2: x =
y²
Have a nice day! Sorry that this is long, there is a lot to say haha!
I hope this is what you are looking for, but if not - comment! I will edit and update my answer accordingly. (ノ^∇^)
- Heather