1answer.
Ask question
Login Signup
Ask question
All categories
  • English
  • Mathematics
  • Social Studies
  • Business
  • History
  • Health
  • Geography
  • Biology
  • Physics
  • Chemistry
  • Computers and Technology
  • Arts
  • World Languages
  • Spanish
  • French
  • German
  • Advanced Placement (AP)
  • SAT
  • Medicine
  • Law
  • Engineering
madam [21]
4 years ago
12

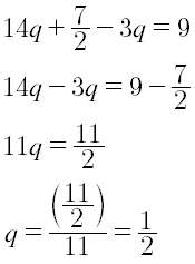
How do I solvencia this problema 2/7 (14q+7/2)-3q=9

Mathematics
1 answer:
Snowcat [4.5K]4 years ago
3 0
I posted an image instead.

You might be interested in
Peter and Steven take 5 1/3 hours to do a job. Steven alone takes 16 hours to do the same job how long would it take peter to do
olga nikolaevna [1]

Answer: It would take 8 hours!!

Step-by-step explanation: Hope this helps!! <3

5 0
3 years ago
Read 2 more answers
Which of the following are polynomials?
krek1111 [17]
I would say both B and F would be polynomials.
6 0
4 years ago
Round 7,824,562 to the nearest hundred thousand​
lbvjy [14]
It would be 7,825,000
8 0
3 years ago
Question 11 of 25 - The line passing through the points (-2, 12) and (3,-23) intersects the line passing through which of these
Evgen [1.6K]

Answer:

Step-by-step explanation:

-3,19 and (6,-44)

5 0
3 years ago
Read 2 more answers
Chase's birthday party costs $8 for every guest he invites. How many guests can there be
QveST [7]

Answer:

4 guests

Step-by-step explanation:

If it's $8 every person, 4 x $8 is $32, so he can have 4 guests.

7 0
4 years ago
Read 2 more answers
Other questions:
  • You earn a 90% on his science test you answer 18 questions correctly how many questions were on the test
    15·2 answers
  • Big Al’s Steak House and Trail’s End both claim to have the shortest wait times in town. To check out the claims, Ramon, a resta
    10·2 answers
  • Help me solve this two questions
    5·1 answer
  • If lines joined each given point on the graph to the origin, which points would be on lines that represent a unit rate greater t
    5·1 answer
  • What is radical 7 times 7
    6·1 answer
  • X(1+y)+(7+7y) please factorise it with methods
    8·1 answer
  • There are 11 apples in a basket. 9 of these apples are green. The rest of them are red. What is the ratio of red apples to all a
    11·1 answer
  • How many more barrels of gasoline than desiel were produced
    14·1 answer
  • I need help please help....
    15·2 answers
  • Can someone pls answer both of these questions<br> WILL MARK BRAINLIEST
    12·1 answer
Add answer
Login
Not registered? Fast signup
Signup
Login Signup
Ask question!