1answer.
Ask question
Login Signup
Ask question
All categories
  • English
  • Mathematics
  • Social Studies
  • Business
  • History
  • Health
  • Geography
  • Biology
  • Physics
  • Chemistry
  • Computers and Technology
  • Arts
  • World Languages
  • Spanish
  • French
  • German
  • Advanced Placement (AP)
  • SAT
  • Medicine
  • Law
  • Engineering
professor190 [17]
2 years ago
15

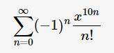
Find the sum of the series:

Mathematics
1 answer:
xxMikexx [17]2 years ago
4 0

It diverges

Step-by-step explanation:

it is an alternating sequence hence it will diverge

You might be interested in
How many cars can Sparkle Car Wash clean per hour, rounded to the nearest tenth<br> rouridad
kaheart [24]
It looks like between 8-9
6 0
3 years ago
Solve the equation d/3=11
den301095 [7]

Final Answer: d = 33

Steps/Reasons/Explanation:

Question: Solve the equation \frac{d}{3} = 11.

<u>Step 1</u>: Multiply both sides by 3.

d = 11 × 3

<u>Step 2</u>: Simplify 11 × 3 to 33.

d = 33

~I hope I helped you :)~

8 0
3 years ago
6) Richard and David both invest $10 000. Richard invests his $10,000 at a rate of x% compound interest per year. David invests
andriy [413]

Refer to the attachment

8 0
3 years ago
Read 2 more answers
All the blank answers
wlad13 [49]

the sum of inner angles of a pentagon is equal to

n - 2 \times 180  = (5 - 2) \times 180  \\ 3 \times 180 = 540

so:

x + 10 + x + 20 + 2x + 10 \\  + x + 10 + 2x = 540 \\ 7x + 50 = 540 \\ 7x = 490 \\ x = 70

and the largest one is 150

2x + 10 = 2(70) + 10 = 150

the answer is 1/16

4  {}^{ - 2}  =  \frac{1}{4 {}^{2} }  =  \frac{1}{16}

the parallel line can be

y=2x+4

or any line with different y intercept

good luck

5 0
4 years ago
Help whit that 3 questions please and thanks
Serjik [45]

Answer:

80.

4s+5c=46\\3s+c=22

81. Each apple cost $0.50

82. One pound of chocolate = $3

Step-by-step explanation:

80.

Let sold of 1 senior citizen ticket be "s", and

cost of 1 child ticket be "c"

First Day, 4 senior citizen ticket and 5 child tickets sold, equaled $46, so the equation we can write is:

4s+5c=46

Second Day, 3 senior citizen ticket and 1 child ticket sold, equaled $22, so the equation we can write is:

3s+c=22

So, the system of equation (2 equations) written above can be solved simultaneously to find our answer.

4s+5c=46\\3s+c=22

81.

Let price of 1 apple be "a" and price of 1 banana be "b"

Since 3 apples and 2 banana cost $2, so we can write:

3a + 2b = 2

Then,

4 apples and 4 bananas cost $3, so we can write:

4a + 4b = 3

We can solve for the variable b in equation 1. Shown below:

3a + 2b = 2\\2b=2-3a\\b=\frac{2-3a}{2}

Now we put this value of b into equation 2 and solve for cost of 1 apple, a. Shown below:

4a+4b=3\\4a+4(\frac{2-3a}{2})=3\\4a+4-6a=3\\2a=1\\a=\frac{1}{2}\\a=0.5

So each apples cost $0.5

82.

Let 1 pound of chocolate be cost "c"

Let 1 pound of peanut be cost "p"

4 lb of chocolate and 2 lb of peanut = $16, thus we can write:

4c + 2p = 16

Next,

2 lb of chocolate and 3 lb of peanut costed $12, so we can write:

2c + 3p = 12

We solve first equation for p:

4c + 2p = 16\\2p=16-4c\\p=\frac{16-4c}{2}\\p=8-2c

Now, we put this expression for p into equation 2 and solve for c:

2c + 3p = 12\\2c + 3(8-2c) = 12\\2c+24-6c=12\\4c=12\\c=3

So, 1 pound of chocolates cost $3

5 0
4 years ago
Other questions:
  • - 2x + 12 = 2(x + 6)​
    7·1 answer
  • The perimeter of a rectangle is 24 inches, how do you find the dimensions if its length is 3 times greater than its width?
    10·1 answer
  • The administrative assistant at a software company often provides breakfast when there is a morning meeting. For last week's sal
    15·1 answer
  • If x is 5 what is the value of 4x?
    7·2 answers
  • a construction crew has just built a new road. they worked for 4 weeks. they built the road at a rate of 10.24 kilometers per we
    13·1 answer
  • Annika's class raised $800 by selling $5 and $10 movie gift cards. The class
    10·1 answer
  • HELP ME ASAP I NEED A GOOD GRADE
    14·1 answer
  • Derek bought cups for $50 a dozen. He sold them for $10 each. What is his profit?
    11·2 answers
  • Calculate the slope (50,10) (77,25)
    11·2 answers
  • Felix and Megan are going hiking and are trying to figure out how much water
    5·1 answer
Add answer
Login
Not registered? Fast signup
Signup
Login Signup
Ask question!