1answer.
Ask question
Login Signup
Ask question
All categories
  • English
  • Mathematics
  • Social Studies
  • Business
  • History
  • Health
  • Geography
  • Biology
  • Physics
  • Chemistry
  • Computers and Technology
  • Arts
  • World Languages
  • Spanish
  • French
  • German
  • Advanced Placement (AP)
  • SAT
  • Medicine
  • Law
  • Engineering
zysi [14]
2 years ago
12

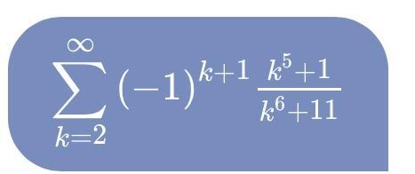
Determine if diverges, converges, or converges conditionally.

Mathematics
2 answers:
TEA [102]2 years ago
7 0

The given series is conditionally convergent. This can be obtained by using alternating series test first and then comparing the series to the harmonic series.

<h3>Determine if diverges, converges, or converges conditionally:</h3>

Initially we need to know what Absolute convergence and Conditional convergence,

If \sum|a_{n} | → converges, and \sum a_{n} → converges, then the series is Absolute convergence

If \sum|a_{n} | → diverges, and \sum a_{n} → converges, then the series is Conditional convergence

First use alternating series test,

\lim_{k \to \infty} \frac{k^{5} +1}{k^{6}+11 } = \lim_{n \to \infty} \frac{5}{6k} = 0,

The series is a positive, decreasing sequence that converges to 0.

Next by comparing the series to harmonic series,

\sum^{\infty} _{k=2}|(-1)^{k+1} \frac{k^{5} +1}{k^{6}+11 }|=\sum^{\infty} _{k=2}\frac{k^{5} +1}{k^{6}+11 } ≈  \sum^{\infty} _{k=2}\frac{1}{k} = 0

This implies that the series is divergent by comparison to the harmonic series.

First we got that the series is converging and then we got the series is divergent. Therefore the series is conditionally convergent.

\sum|a_{n} | → diverges, and \sum a_{n} → converges, then the series is Conditional convergence.

Hence the given series is conditionally convergent.

Learn more about conditionally convergent here:

brainly.com/question/1580821

#SPJ1

Lostsunrise [7]2 years ago
7 0

By the alternating series test, this series converges: for k\in\Bbb N,

\dfrac{k^5+1}{k^6+11}

is a positive, decreasing sequence that converges to 0.

However,

\displaystyle \sum_{k=2}^\infty \left| (-1)^{k+1} \frac{k^5+1}{k^6+11} \right| = \sum_{k=2}^\infty \frac{k^5+1}{k^6+11} \approx \sum_{k=2}^\infty \frac1k

is a divergent series by comparison to the harmonic series.

So the given series is conditionally convergent.

You might be interested in
What are the possible rational zeros of f(x) = x4 − 4x3 + 9x2 + 5x + 14?
Dovator [93]

Answer:

±1, ±2, ±7, ±14

Step-by-step explanation:

6 0
3 years ago
Katie has $20 and buy 3 packs of marker for $4 how many left
aleksklad [387]
Answer $8


3*4=12


20-12=8
8 0
4 years ago
Read 2 more answers
What is the total weekly pay for a person earning $9.00 an hour and working only 8 hours a day for 5 days?
melomori [17]
First you woyld find how many hours total he worked.
5 \times 8 = 40
Then take the number of hours and multiply by the pay earned per hour.
40 \times 9 = 360
They would make $360 per week.
6 0
3 years ago
Angle x is an acute angle in a triangle. If cos x=4/5, then the sin x=
Pepsi [2]
The answer is 3/5 because u need to find the missing side in order to find sin

8 0
3 years ago
Read 2 more answers
F(x)=-12x - 2x + 60x² +14x-60
Leona [35]

Answer:

x=±1. are the factors of the quadratic equation.

Step-by-step explanation:

Given quadratic expression, f(x)=-12x - 2x + 60x² +14x-60

Rearranging and adding the terms in the expression and equating to zero.

f(x)= 60x² -60=0

60(x² - 1) =0

The zero product property states that if the product of a⋅b=0 then either a or b equal zero or both of them must be equal to zero. This basic property helps us solve the quadratic equations like (x+2)(x-5)=0 where x =-2,5.

from the zero product property we can infer that 60≠0⇒x² - 1=0

⇒(x+1)×(x-1) = 0

⇒x=±1.

Therefore, x=±1. are the factors of the quadratic equation.

3 0
4 years ago
Other questions:
  • Select all that apply.
    6·1 answer
  • Find the y-intercept of the following equation. Simplify your answer. 4x + y = 7
    5·2 answers
  • Write in simplest form 2/5 * 11
    14·2 answers
  • What is the side length of a cube with a volume of 166 yd^3
    12·1 answer
  • 1/9 * 1/2 ^ 4 (as a fraction)
    6·1 answer
  • The radius of a circle is 8 feet. What is the circle's area?<br> Use 3.14 for ​.
    13·2 answers
  • A civil engineer is analyzing the compressive strength of concrete. Compressive strength is normally distributed with A random s
    6·1 answer
  • Without using a calculator find the answers to the following. <br> (5+2) x 6-6
    9·2 answers
  • There are 5 less oranges on the tree today than there was yesterday<br><br> Plz help
    10·2 answers
  • HELP!!! PLEASE 50 POINTS!!!!!!!!!
    10·1 answer
Add answer
Login
Not registered? Fast signup
Signup
Login Signup
Ask question!