1answer.
Ask question
Login Signup
Ask question
All categories
  • English
  • Mathematics
  • Social Studies
  • Business
  • History
  • Health
  • Geography
  • Biology
  • Physics
  • Chemistry
  • Computers and Technology
  • Arts
  • World Languages
  • Spanish
  • French
  • German
  • Advanced Placement (AP)
  • SAT
  • Medicine
  • Law
  • Engineering
Vikki [24]
3 years ago
7

(20x^3-7x^2+3x-7)/-13x^2-5

Mathematics
1 answer:
Ann [662]3 years ago
3 0

Answer:

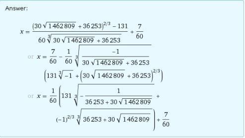
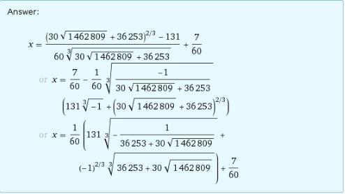
x = ((30 sqrt(1462809) + 36253)^(2/3) - 131)/(60 (30 sqrt(1462809) + 36253)^(1/3)) + 7/60 or x = 7/60 - 1/60 ((-1)/(30 sqrt(1462809) + 36253))^(1/3) (131 (-1)^(1/3) + (30 sqrt(1462809) + 36253)^(2/3)) or x = 1/60 (131 (-1/(36253 + 30 sqrt(1462809)))^(1/3) + (-1)^(2/3) (36253 + 30 sqrt(1462809))^(1/3)) + 7/60

see atachement it's more legible.

Step-by-step explanation:

Solve for x:

(20 x^3 - 7 x^2 + 3 x - 7)/(-13 x^2 - 5) = 0

Hint: | Multiply both sides by a polynomial to clear fractions.

Multiply both sides by -13 x^2 - 5:

20 x^3 - 7 x^2 + 3 x - 7 = 0

Hint: | Look for a simple substitution that eliminates the quadratic term of 20 x^3 - 7 x^2 + 3 x - 7.

Eliminate the quadratic term by substituting y = x - 7/60:

-7 + 3 (y + 7/60) - 7 (y + 7/60)^2 + 20 (y + 7/60)^3 = 0

Hint: | Write the cubic polynomial on the left hand side in standard form.

Expand out terms of the left hand side:

20 y^3 + (131 y)/60 - 36253/5400 = 0

Hint: | Write the cubic equation in standard form.

Divide both sides by 20:

y^3 + (131 y)/1200 - 36253/108000 = 0

Hint: | Perform the substitution y = z + λ/z.

Change coordinates by substituting y = z + λ/z, where λ is a constant value that will be determined later:

-36253/108000 + (131 (z + λ/z))/1200 + (z + λ/z)^3 = 0

Hint: | Transform the rational equation into a polynomial equation.

Multiply both sides by z^3 and collect in terms of z:

z^6 + z^4 (3 λ + 131/1200) - (36253 z^3)/108000 + z^2 (3 λ^2 + (131 λ)/1200) + λ^3 = 0

Hint: | Find an appropriate value for λ in order to make the coefficients of z^2 and z^4 both zero.

Substitute λ = -131/3600 and then u = z^3, yielding a quadratic equation in the variable u:

u^2 - (36253 u)/108000 - 2248091/46656000000 = 0

Hint: | Solve for u.

Find the positive solution to the quadratic equation:

u = (36253 + 30 sqrt(1462809))/216000

Hint: | Perform back substitution on u = (36253 + 30 sqrt(1462809))/216000.

Substitute back for u = z^3:

z^3 = (36253 + 30 sqrt(1462809))/216000

Hint: | Take the cube root of both sides.

Taking cube roots gives 1/60 (36253 + 30 sqrt(1462809))^(1/3) times the third roots of unity:

z = 1/60 (36253 + 30 sqrt(1462809))^(1/3) or z = -1/60 (-36253 - 30 sqrt(1462809))^(1/3) or z = 1/60 (-1)^(2/3) (36253 + 30 sqrt(1462809))^(1/3)

Hint: | Perform back substitution with y = z - 131/(3600 z).

Substitute each value of z into y = z - 131/(3600 z):

y = 1/60 (30 sqrt(1462809) + 36253)^(1/3) - 131/(60 (30 sqrt(1462809) + 36253)^(1/3)) or y = -1/60 (-30 sqrt(1462809) - 36253)^(1/3) - (131 (-1)^(2/3))/(60 (30 sqrt(1462809) + 36253)^(1/3)) or y = 131/60 ((-1)/(30 sqrt(1462809) + 36253))^(1/3) + 1/60 (-1)^(2/3) (30 sqrt(1462809) + 36253)^(1/3)

Hint: | Simplify each solution.

Bring each solution to a common denominator and simplify:

y = ((30 sqrt(1462809) + 36253)^(2/3) - 131)/(60 (36253 + 30 sqrt(1462809))^(1/3)) or y = -1/60 (-1/(36253 + 30 sqrt(1462809)))^(1/3) ((30 sqrt(1462809) + 36253)^(2/3) + 131 (-1)^(1/3)) or y = 1/60 (131 ((-1)/(30 sqrt(1462809) + 36253))^(1/3) + (-1)^(2/3) (30 sqrt(1462809) + 36253)^(1/3))

Hint: | Perform back substitution on the three roots.

Substitute back for x = y + 7/60:

Answer: x = ((30 sqrt(1462809) + 36253)^(2/3) - 131)/(60 (30 sqrt(1462809) + 36253)^(1/3)) + 7/60 or x = 7/60 - 1/60 ((-1)/(30 sqrt(1462809) + 36253))^(1/3) (131 (-1)^(1/3) + (30 sqrt(1462809) + 36253)^(2/3)) or x = 1/60 (131 (-1/(36253 + 30 sqrt(1462809)))^(1/3) + (-1)^(2/3) (36253 + 30 sqrt(1462809))^(1/3)) + 7/60

You might be interested in
Help due in a little bit!
Georgia [21]

Answer:

25

Step-by-step explanation:

a^2+b^2=c^2. 7^2+24^2=c^2. 625=c^2. sqrt both sides. 25=c

8 0
3 years ago
Read 2 more answers
NEED HELP
Anvisha [2.4K]

The answer is the fourth option. Put the compass point on A and the pencil point on the segment, closer to point B than to point A, and draw a circle centered at point A. Without changing the compass opening, draw a circle centered at point B. The diagonals of a square bisect each other in mutually perpendicular. Let AB be the diagonal, when we draw a perpendicular to the diagonal AB the other two points of the square are in this perpendicular.And are in opposite sides.So we draw the two circles with same radius less than AB and greater than half of AB.  

7 0
3 years ago
Read 2 more answers
Point is (-4,-1) and parallel to the line 3x <br> -2y=4
pickupchik [31]
I have no idea but it hunk it’s paternity like three,,,
5 0
3 years ago
Read 2 more answers
jem pastes 21 photos and 15 postcards in a scrap album. she puts 3 items on each page. how many pages does jem fill in the scrap
ddd [48]
12 pages

Each side count as a page

21+15=36 36/3=12
6 0
4 years ago
Help plz thank you I appreciate if u guys can help me
jok3333 [9.3K]

Answer:4

Step-by-step explanation:

5 0
3 years ago
Read 2 more answers
Other questions:
  • How do i do x/3=3 Please help!! thanks!!
    8·2 answers
  • Below is a proof showing that the sum of a rational number and an irrational number is an irrational number.
    13·1 answer
  • Which phrase could be represented by this expression?
    11·1 answer
  • If the length (L) of a rectangle is 3 less than 4 times the width (W) of the rectangle,
    14·1 answer
  • Approximately how many hours would someone who earns $7.51 per hour have to work to earn $202.85? 27 30 35 37
    10·2 answers
  • The Hawkins Company randomly samples 10 items from every large batch before the batch is packaged and shipped. According to the
    12·2 answers
  • X5 + 2 = 12 = a 50 b 58 c 62 d70
    10·2 answers
  • On a loan of $3520.10, if the one-time simple interest was at 7.77% of the principal, how much interest was incurred?
    9·1 answer
  • Is this exponential growth or decay y=⅓e^x​
    10·1 answer
  • Select all the equations that are equivalent to (5x+6)/2 =3-(4x+12)
    11·2 answers
Add answer
Login
Not registered? Fast signup
Signup
Login Signup
Ask question!