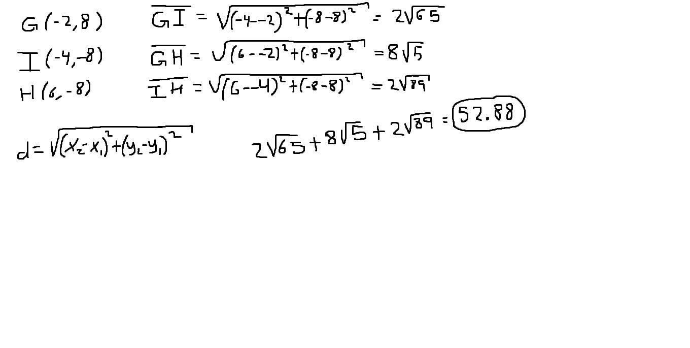
B) 12.75
Just add them all together
10+15+14+8+18+11+12+12+10+10+17+16=153
The devide the anser by the ammount of numbers you added together
153÷12=12.75
Answer:
The zeros are the points where the parabola intercepts the x-axis.


where a is some constant
If the parabola passes through point (3, 4) then:




So the equation of the parabola is:

Or in standard form:

Answer:
Option A is correct.
Step-by-step explanation:
Given equation is 3x + 4y + 6z = 12
We have to find ordered triplet which indicate where the plane cuts the x-axis.
To find x-coordinate where plane cuts the x-axis we put y and z equal to 0.
3x + 4 × 0 + 6 × 0 = 12
3x + 0 + 0 = 12
3x = 12
x = 4
So, the coordinate where it cuts x-axis is ( 4 , 0 , 0 )
Therefore, Option A is correct.
You can make an equation to solve this, but establishing knowns, unknowns, and relationships.
# in spring wash = x
# in summer = x + 14
Total Washes = 96
we know:
total = summer + spring
96 = (x) + (x + 14)
96 = 2x + 14
82 = 2x
"x" = 41
Median - 6.5
mode- 6.5
mean-5.8