1answer.
Ask question
Login Signup
Ask question
All categories
  • English
  • Mathematics
  • Social Studies
  • Business
  • History
  • Health
  • Geography
  • Biology
  • Physics
  • Chemistry
  • Computers and Technology
  • Arts
  • World Languages
  • Spanish
  • French
  • German
  • Advanced Placement (AP)
  • SAT
  • Medicine
  • Law
  • Engineering
Serhud [2]
3 years ago
13

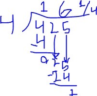
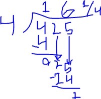
425 divided by 4 in long division.

Mathematics
2 answers:
Margarita [4]3 years ago
6 0

Hi! I'm Jenny, and I'm a mathematician! I am ecstatic to help you with this problem! :)

425 ÷ 4 in long division:

1 0 6

4 4 2 5

− 4    

 0 2  

−   0  

   2 5

 − 2 4

     1

Message from ExperimentsDIYS:

Our team aims to please and if you have any question regarding your topic, we are here to help! We know that your education is very important. <3

maks197457 [2]3 years ago
5 0

the answer is 16 1/4

You might be interested in
Would this answer be zero -80 y = 80
Sidana [21]
No - Y would equal -1.

-80y=80

Divid both sides by -80

y = -1
6 0
4 years ago
Which diagram shows lines that must be parallel lines cut by a transversal?
eimsori [14]

9514 1404 393

Answer:

  2 horizontal lines are intersected by another line. At the intersection with the first line, the bottom right angle is 91 degrees. At the intersection with the second line, the top right angle is 89 degrees.

Step-by-step explanation:

The last of the statements describes consecutive (same-side) interior angles at the transversal that are supplementary. That condition exists when the lines are parallel.

7 0
3 years ago
Read 2 more answers
A number is divided by 2, and then the quotient is added to 8. The result is 33. Find the number
Black_prince [1.1K]
The answer is 50 !
50/2 = 25 + 8 = 33
3 0
4 years ago
Ricky spends $103. 19 in additional interest and charges on monthly payments as the result of a prior bankruptcy. If Ricky had b
erastova [34]

Answer:

C. 1,315.06

Step-by-step explanation:

................

5 0
3 years ago
In science class sara needed 8 test tubes for 3 different experiments. The first experiment required 2 test tubes and the other
photoshop1234 [79]

Answer:

as we know Sara need 8 tube in 3 experiment

she will use 2 tube in 1 experiment

now she have 6 tube in other experiments

so the question said to find how many tube were used in both experiment equally so 3,3 test tube were needed for each of the other two experiment

Step-by-step explanation:

total tube=8 (3 experiment)

used =2tube (1 experiment)

remaining=8-2=6

now ,

dividing 6 into 2 equal part

so,=6/2=3

so 3 tube were used in 2nd experiment and 3in 3rd experiment

6 0
3 years ago
Other questions:
  • PLEASE HELP ASAP!!! CORRECT ANSWER ONLY PLEASE!!!
    6·1 answer
  • What equation mathches this situation John had 10$. He spent x dollar now he has $3.20
    15·2 answers
  • Please help me I really need it :( (--&gt;WILL MARK BRAINLIEST&lt;-- I ALREADY HAVE THE ANSWER FOR PART A, I JUST NEED PART B AN
    11·1 answer
  • 80% of C is 20. What is c?
    5·1 answer
  • How many liters are in a gallon?
    5·1 answer
  • You are baking cookies for your family. You have 12 family members and you have baked 5 cookies so far. Write an equation to fin
    5·1 answer
  • Solve the proportion 5/3c=1/6
    15·2 answers
  • Nancy needs at least 1000 gigabytes of storage to take pictures and videos on her upcoming vacation. She
    5·1 answer
  • Marcos sells snow cones in the summer. He uses a cone with a radius of 1.5 inches and a height of 5 inches. If he fills the snow
    6·1 answer
  • Michael rotates ABC to form the image A'B'C'. The table shows the corresponding vertices for ABC and AA'B'C'. What degree of rot
    7·1 answer
Add answer
Login
Not registered? Fast signup
Signup
Login Signup
Ask question!