1answer.
Ask question
Login Signup
Ask question
All categories
  • English
  • Mathematics
  • Social Studies
  • Business
  • History
  • Health
  • Geography
  • Biology
  • Physics
  • Chemistry
  • Computers and Technology
  • Arts
  • World Languages
  • Spanish
  • French
  • German
  • Advanced Placement (AP)
  • SAT
  • Medicine
  • Law
  • Engineering
kati45 [8]
3 years ago
7

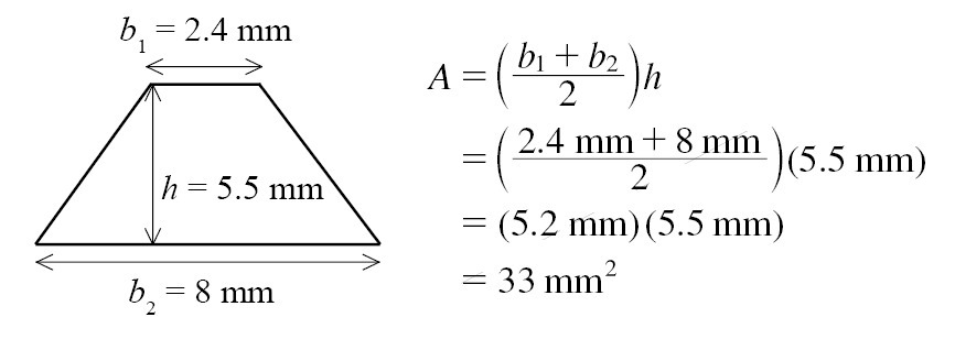
A trapezoid has a height of 5.5 mm with bases of 8 mm and 2.4 mm. Draw a visual of the trapezoid, state a formula, and find the

area of this trapezoid.

Mathematics
2 answers:
Zarrin [17]3 years ago
3 0

A≈2.86×10-5m²
A trapezoid<span> is a quadrilateral that </span>has<span> only one pair of sides that are parallel. To </span>calculate<span> the </span>area<span> of</span>trapezoids<span>, take the average of </span>bases<span> and multiply by its </span>height<span>. The </span>area<span> of a ... What is the </span>area<span> of a</span>trapezoid<span> having </span>bases<span> 5cm and 8cm and a </span>height<span> of 6cm? Solution: ... </span>Area<span> of </span>Trapezoid<span> = 0.5 × 6 × (5 + </span>8<span>) </span>Area<span> of ...</span>
otez555 [7]3 years ago
3 0
I posted an image instead.

You might be interested in
Which choice shows the product of 22 and 39?
Yuliya22 [10]

Answer: (22)(39) = 858.

Step-by-step explanation:

Product of a number simply means that one has to multiply the numbers that are given. For example, if a student is told to find the product of 2 and 5, it simply means that 2 × 5 = 10.

Regarding the above question, the product of 22 and 39 is represented by: (22)(39) = 858. It should be noted that 22 × 39 = 858

8 0
3 years ago
I REALLY need help with these 3 questions plz!!!!
Tanzania [10]

Answer:

6. No. See explanation below.

7. 18 months

8. 16

Step-by-step explanation:

6. To rewrite a sum of two numbers using the distributive property, the two numbers must have a common factor greater than 1.

Let's find the GCF of 85 and 99:

85 = 5 * 17

99 = 3^2 + 11

5, 3, 11, and 17 are prime numbers. 85 and 99 have no prime factors in common. The GCF of 85 and 99 is 1, so the distributive property cannot be used on the sum 85 + 99.

Answer: No because the GCF of 85 and 99 is 1.

7.

We can solve this problem with the lest common multiple. We need to find a number of a month that is a multiple of both 6 and 9.

6 = 2 * 3

9 = 3^2

LCM = 2 * 3^2 = 2 * 9 = 18

Answer: 18 months

We can also answer this problem with a chart. We write the month number and whether they are home or on a trip. Then we look for the first month in which both are on a trip.

Month                Charlie          Dasha

1                          home             home

2                          home             home

3                          home             home

4                          home             home

5                          home             home

6                         trip                home

7                          home             home

8                          home             home

9                          home             trip

10                         home             home

11                         home             home

12                         trip               home

13                         home             home

14                         home             home

15                         home             home

16                         home             home

17                         home             home

18                         trip                 trip

Answer: 18 months

8.

First, we find the prime factorizations of 96 an 80.

96 = 2^5 * 3

80 = 2^4 *5

GCF = 2^4 = 16

Answer: 16

7 0
3 years ago
Help plss i need help
andrew11 [14]
It’s b. you divide by 5 on both sides and at the end you’ll get x= 6
3 0
3 years ago
Hitomi, Ben, and Gayle bought 3 pumpkins that weighed 15 pounds altogether. Ben and
frez [133]

Answer:

5

Step-by-step explanation:

15/3=5 when the y are 3 it division

3 0
4 years ago
Do you like cats or dogs better?
Leya [2.2K]
I believe cats, cause they do things on their own but also dogs too. This is a very hard question.
5 0
3 years ago
Read 2 more answers
Other questions:
  • A three-dimensional printing pen uses heated plastic to create three-dimensional objects. A kit comes with one 3D-printing pen a
    13·1 answer
  • A particular rocket taking off from the earth surface uses fuel at a constant rate of 12.5 gallons per minute the rocket initial
    11·1 answer
  • Which value below is included in the solution set for the inequality statement?
    12·1 answer
  • Write the polar form of a complex number in standard form for <img src="https://tex.z-dn.net/?f=8%5Bcos%28%5Cfrac%7B%5Cpi%7D%7B2
    11·1 answer
  • La tercera parte, de la quinta parte de √225
    9·1 answer
  • I don’t know what to do for this
    8·1 answer
  • The Smith's 5 children need to be lined up for a family photo. In how many ways could this be done? 5 5 5! 5! 5C5 5 cap c sub 5
    12·1 answer
  • What are the odds of not rolling a three on a standard six-sided die?
    13·2 answers
  • I need help I don’t understand
    15·1 answer
  • If i- -1, what is the value of ; 3? -1 O i 0 1 0 -
    12·1 answer
Add answer
Login
Not registered? Fast signup
Signup
Login Signup
Ask question!