Answer:
330 minutes a week
Step-by-step explanation:
50 x 5= 250 then add 80 because 40 x 2 is 80 and get 330
UsesbsnajnsjJhjsbsbnsnnsjs
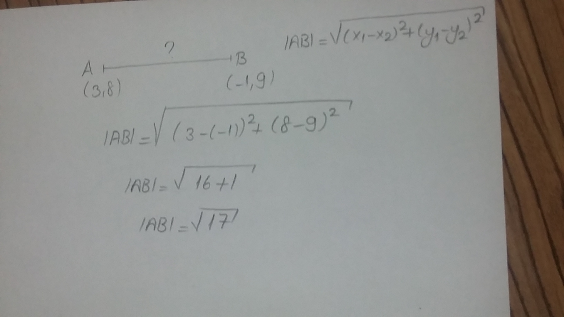
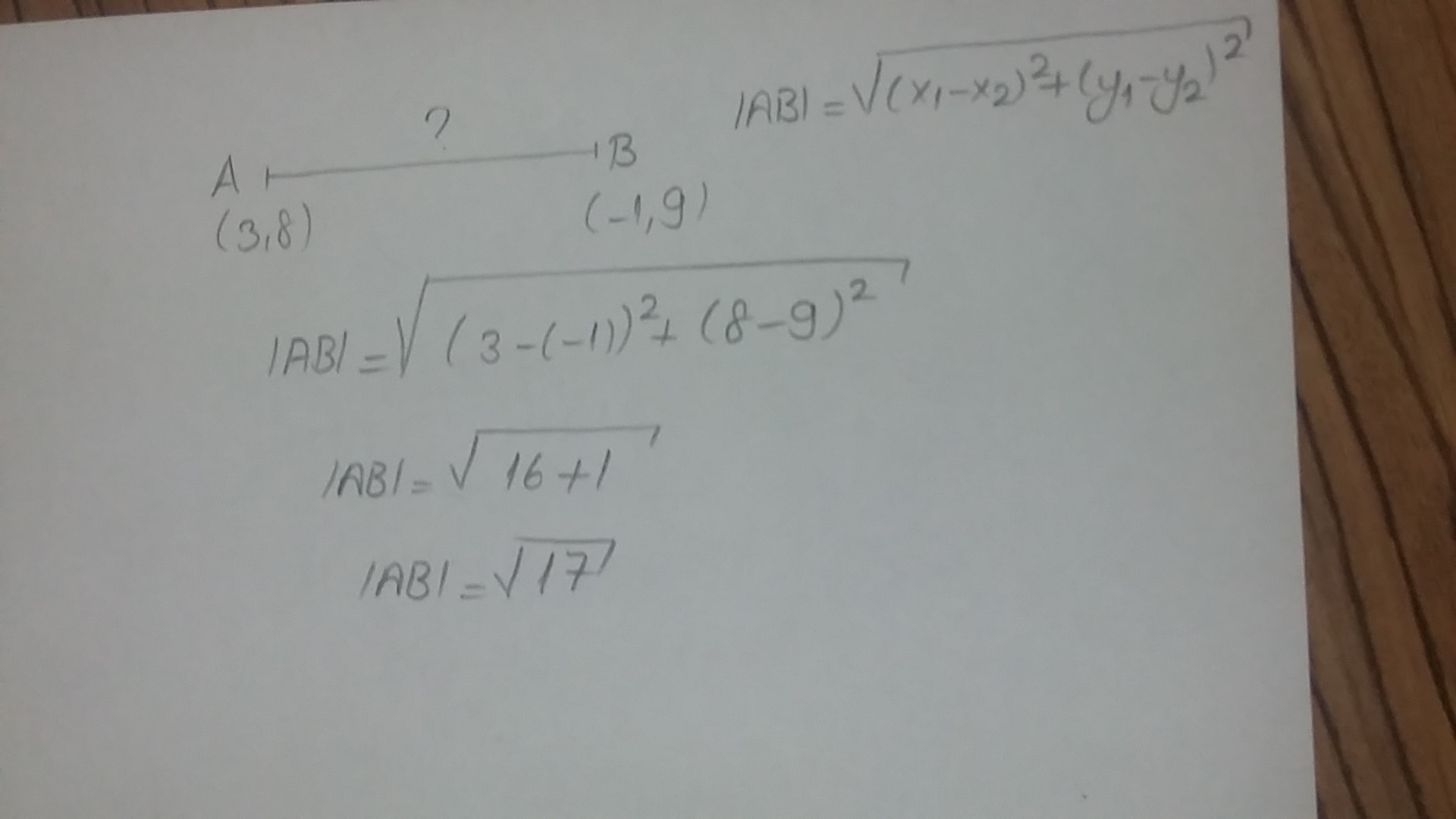
Answer:
Step-by-step explanation:
here you go!!
Answer:

Step-by-step explanation:
we know that
The measurement of the external angle is the semi-difference of the arcs which comprises
In this problem
m∠RPS=
------> external angle
so
m∠RPS=
we have
m∠RPS=

substitute the values

Solve for arc RS


Answer:
One triangle
Step-by-step explanation:
That's the answer....