1answer.
Ask question
Login Signup
Ask question
All categories
  • English
  • Mathematics
  • Social Studies
  • Business
  • History
  • Health
  • Geography
  • Biology
  • Physics
  • Chemistry
  • Computers and Technology
  • Arts
  • World Languages
  • Spanish
  • French
  • German
  • Advanced Placement (AP)
  • SAT
  • Medicine
  • Law
  • Engineering
Over [174]
3 years ago
14

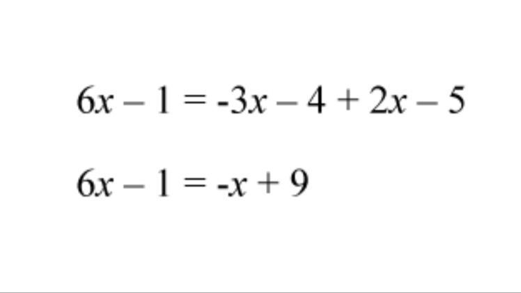
Juanita did this work to solve an equation. Did she make an error?

Mathematics
2 answers:
Free_Kalibri [48]3 years ago
6 0
Yes, (-4) plus (-5) does not equal a positive 9, it should be (-9).
aleksklad [387]3 years ago
5 0
Shouldn’t it be simplified more to 7x=8 ?
You might be interested in
One day, the Early Bird Restaurant used
stiks02 [169]

Answer:

F. 23

Step-by-step explanation:

15/2 = 7.5

7.5 dozen eggs per 100 customers

15 + 7.5 = 22.5 which can be rounded to 23

= 23

3 0
3 years ago
Which relation is a function?
Artemon [7]

Answer:

The <u>last graph</u> is a <u>function.</u>

Step-by-step explanation:

They are reflected off of each other, aka they are in an organized pattern. The other graphs are a series of random plots, meaning they have no function.

4 0
3 years ago
Read 2 more answers
24% of students in a class are girls. If there are less than 30 students in this class, how many students are there? How many gi
castortr0y [4]

Answer:

Step-by-step explanation:

The GCF (greatest common factor) of 24 and 30 is 6.

30-30/6=25

25 students in the class

24% of 25 is 6

6 girls in the class

5 0
3 years ago
PLEASE ANSWER THIS AND IF YOU DO YOU GET <br> 1. FOLLOW<br> 2. BRAINLIEST
Dima020 [189]

Answer:

i will give you the answer

Step-by-step explanation:

but what do you need

do you need intersect,slope,y=mx+b form?

5 0
3 years ago
HELP ME PLZPLZPZLZLZLZ
andre [41]

Answer:

sin x° = Opposite / Hypotenuse

x = 3.38

Step-by-step explanation:

sin 70° = x / 3.6

sin 70° × 3.6 = x

x = 0.93969262079 × 3.6

x = 3.38289343483 ~ 3.38

3 0
3 years ago
Other questions:
  • The diagonals of a parallelogram ABCD intersect at O.find ar(AOB),if ar(ABCD)is 44cm^2
    10·1 answer
  • When a jug is half- filled with marbles, it weighs 2.6 kg. The jug weighs 4 kg when it is full. Find the weight of the empty jug
    10·2 answers
  • What is the length of a 100 yard football field, measured in meters
    9·1 answer
  • What is the volume of this square pyramid?
    9·2 answers
  • Why is the constant of proportionality a useful concept?
    9·2 answers
  • Whats the lcd of 1/7,14/17,12/13,5/6
    13·1 answer
  • Can someone help me? Thanks! :)
    11·2 answers
  • Identify the slope and y-intercept of the graph of the equation.
    14·2 answers
  • What fractions above are equivalent? ( fractions on picture )
    11·1 answer
  • Help please giving Brianlest
    12·2 answers
Add answer
Login
Not registered? Fast signup
Signup
Login Signup
Ask question!