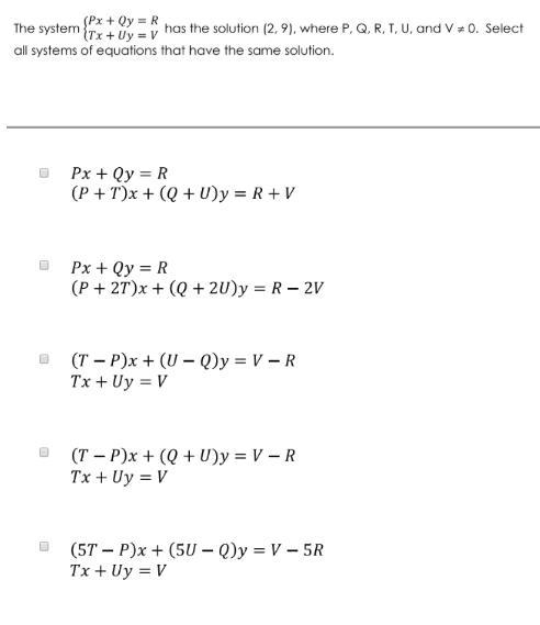
Answer:
1 and 3
Step-by-step explanation:
Given the system of two equations

When you add, subtract, multiply the equations of the system, you get equivalent system of equations (with the same solution).
1. Add these two equations to get the system

Hence, option 1 is correct.
2. Multiply the second equation by 2 and add two equations:

Since
this option is false
3. Subtract two equations:

Option 3 is correct.
4. Since
, option 4 is false
5. Multiply the second equation by 5 and subtract the first equation:

Since
, this option is false.