Answer:
2/5
Step-by-step explanation:
Answer: for every 1 cups of oats there are 25 grams of almonds
Step-by-step explanation:
u would divide 50 by 2 and divide 2 by 2
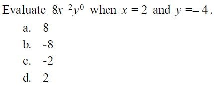
Answer:
the first question would be y= -1/4x + 8
the second one would be 3x + 5y = -65
the third one would be y= -2
and last but not least... the last one would be b.
Step-by-step explanation:
Answer:
x = 
Step-by-step explanation:

i think this is
The slope is 1 :) but the equation is y= 1x + 1