1answer.
Ask question
Login Signup
Ask question
All categories
  • English
  • Mathematics
  • Social Studies
  • Business
  • History
  • Health
  • Geography
  • Biology
  • Physics
  • Chemistry
  • Computers and Technology
  • Arts
  • World Languages
  • Spanish
  • French
  • German
  • Advanced Placement (AP)
  • SAT
  • Medicine
  • Law
  • Engineering
Harrizon [31]
4 years ago
13

Solve by completing the square.

Mathematics
2 answers:
Annette [7]4 years ago
7 0

Answer:

The correct answer is Option A. {2,6}

Step-by-step explanation:

Let the given equation be,

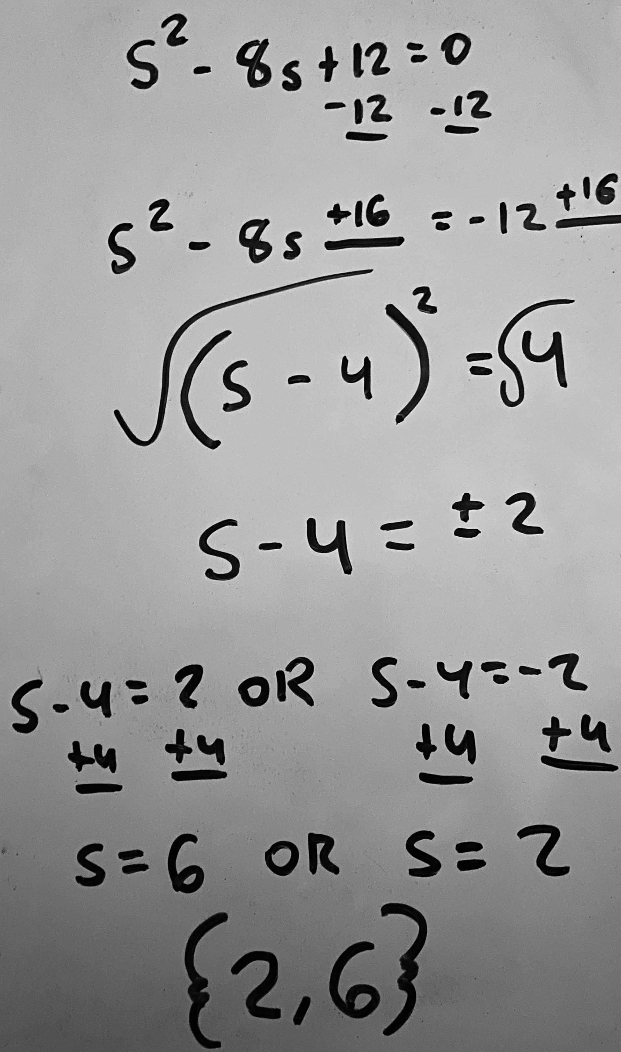
s² -8s + 12 =0  ----(1)

⇒s² -8s = -12  ----(2)

Here coefficient of x, b = -8

b/2 = -8/2 = -4

(b/2)² = 16

add 16 on both the sides of equation (2)

s² -8s + 16 = -12  + 16

s² -8s+ 16 = 4

(s - 4)² = 2²

s - 4 = ± 2

s = +2 + 4 = 6 or s = -2 + 4 = 2

Option A. {2,6} is the correct answer

Serggg [28]4 years ago
7 0

Completing the square is a method used to solve quadratic equations.

When do this, we want a perfect square trinomial on the left side.

First get rid of the constant by subtracting 12 from both sides.

This gives us s² - 8s ___ = -12 ___.

Notice that I left room for a space.

The number that goes inside the space will be the number

that is needed to create a perfect square trinomial.

So what is that number?

Well it comes from a formula.

The number that goes in the space will be half

the coefficient of the middle term squared.

Half of -8 is -4 and if we square -4, we get +16.

So a +16 goes in each blank.

So we have s² - 8s + 16 = -12 + 16.

Now the left side factors as (s - 4)² and the right side simplifies to 4.

So we have (s - 4)² = 4.

Now get rid of the squared by square rooting both sides.

So \sqrt{(s - 4)^{2}} = \sqrt{4}.

This gives us s - 4 = ±2.

Don't forget to use plus or minus when

square rooting both sides of an equation.

So either s - 4 = 2 or s - 4 = -2.

Solving each equation from here, we get s = 2 or s = 6.

Let's write our answer inset notation.

{2, 6}.

You might be interested in
HURRY ANSWER Determine whether the graph shows a positive correlation, a negative correlation, or no correlation. If there is a
RSB [31]

Answer:

B

Step-by-step explanation:

4 0
3 years ago
Read 2 more answers
Find the critical numbers of the function f(x) = x6(x − 2)5.x = (smallest value)x = x = (largest value)(b) What does the Second
Marrrta [24]

Answer:

a) x=0, x=\frac{12}{11}, x=2 \: b) The 2nd Derivative test shows us the change of sign and concavity at some point. c) At which point the concavity changes or not. This is only possible with the 2nd derivative test.

Step-by-step explanation:

a) To find the critical numbers, or critical points of:

f(x)=x^{6}(x-2)^{5}

1) The procedure is to calculate the 1st derivative of this function. Notice that in this case, we'll apply the <em>Product Rule</em> since there is a product of two functions.

f(x)=x^{6}(x-2)^{5}\Rightarrow f'(x)=(f*g)'(x)\\=f'g+fg'\Rightarrow (fg)'(x)=6x^{5}(x-2)^{5}+5x^{6}(x-2)^{4} \Rightarrow 6x^{5}(x-2)^{5}+5x^{6}(x-2)^{4}=0\\f'(x)=6x^{5}(x-2)^{5}+5x^{6}(x-2)^{4}

2) After that, set this an equation then find the values for x.

x^{5}(x-2)^{4}[6(x-2)+5x]=0\Rightarrow x^{5}(x-2)^{4}[11x-12]=0\Rightarrow x_{1}=0\\(x-2)^{4}=0\Rightarrow \sqrt[4]{(x-2)}=\sqrt[4]{0}\Rightarrow x-2=0\Rightarrow x_{2}=2\\(11x-12)=0\Rightarrow x_{3}=\frac{12}{11}

x=0\:(smallest\:value)\:x_{3}=\frac{12}{11}\:x=2 (largest value)

b) The Second Derivative Test helps us to check the sign of given critical numbers.

Rewriting f'(x) factorizing:

f'(x)=(11x-12)(x-2)^4x^{5}

Applying product Rule to find the 2nd Derivative, similarly to 1st derivative:

f''(x)>0 \Rightarrow Concavity\: Up\\\\f''(x)

f''(x)=11\left(x-2\right)^4x^5+4\left(x-2\right)^3x^5\left(11x-12\right)+5\left(x-2\right)^4x^4\left(11x-12\right)\\f''(x)=10\left(x-2\right)^3x^4\left(11x^2-24x+12\right)

1) Setting this to zero, as an equation:

10\left(x-2\right)^3x^4\left(11x^2-24x+12\right)=0\\\\

10\left(x-2\right)^3x^4\left(11x^2-24x+12\right)=0\\(x-2)^{3}=0 \Rightarrow x_1=2\\x^{4}=0 \therefore x_2=0\\11x^{2}-24x+12=0 \Rightarrow x_3=\frac{12+2\sqrt{3}}{11}\:,x_4=\frac{12-2\sqrt{3}}{11}\cong 0.78

2) Now, let's define which is the inflection point, the domain is as a polynomial function:

D=(-\infty

Looking at the graph.

Plugging these inflection points in the original equationf(x)=x^{6}(x-2)^{5} to get y coordinate:

We have as Inflection Points and their respective y coordinates (Converting to approximate decimal numbers)

(1.09,-1.05) Inflection Point and Local Minimum

(2,0) Inflection Point and Saddle Point

(0,0) Inflection Point Local Maximum

(Check the graph)

c) At which point the concavity changes or not. This is only possible with the 2nd derivative test.

At

x=\frac{12}{11}\cong1.09 Local Minimum

At\:x=0,\:Local \:Maximum

At\:x=2, \:neither\:a\:minimum\:nor\:a\:maximum (Saddle Point)

5 0
3 years ago
A quadrilateral has angles that measure 101°, 133°, and 76°.
Andrews [41]
The last angle is 50°
4 0
3 years ago
If the lengths of the legs of a right triangle are 5 and 12, what is the length of the hypotenuse?
kondor19780726 [428]

Answer:

13

Step-by-step explanation:

If we have a right triangle, we can use the Pythagorean theorem to find the hypotenuse

a^2+b^2 = c^2 where a and b are the legs and c is the hypotenuse

5^2 + 12^2 = c^2

25+144= c^2

169 = c^2

Take the square root of each side

sqrt(169) = sqrt(c^2)

13= c

4 0
3 years ago
Read 2 more answers
The length of a rectangle is 3ft more than it's width. if the area is 28ft^2 find the length and width.
Semmy [17]
What 2 # multiplied together make 28,
7x4 
2x14 out of these which one has one side 3ft. more? 7x4
6 0
3 years ago
Other questions:
  • For the time 8:35, rename one hour to 60 minutes. Add those minutes to the existing minutes.
    5·1 answer
  • The number -3 can be classified as which of the following? A. an integer B. a rational number C. a real number D. all of the abo
    9·1 answer
  • If the legs of the triangle are doubled in length what is the length of the hypotenuse
    11·1 answer
  • Factor completely
    13·1 answer
  • 4.1
    8·2 answers
  • How do you factor a^2×b - b^3​
    13·1 answer
  • forty-six out of the total 310 seniors graduate with honors. What is the ratio of seniors graduating with honors to the total nu
    12·1 answer
  • A rectangular storage container with an open top is to have a volume of 24 cubic meters. The length of its base is twice the wid
    6·1 answer
  • Can someone please help me find the answer to this ?
    7·2 answers
  • If u have 3 pennies 4 nickles and 5 dimes what ratio is nickles to the total number
    6·1 answer
Add answer
Login
Not registered? Fast signup
Signup
Login Signup
Ask question!