1answer.
Ask question
Login Signup
Ask question
All categories
  • English
  • Mathematics
  • Social Studies
  • Business
  • History
  • Health
  • Geography
  • Biology
  • Physics
  • Chemistry
  • Computers and Technology
  • Arts
  • World Languages
  • Spanish
  • French
  • German
  • Advanced Placement (AP)
  • SAT
  • Medicine
  • Law
  • Engineering
ser-zykov [4K]
3 years ago
6

Math help please and thank you :)

English
1 answer:
Novosadov [1.4K]3 years ago
4 0
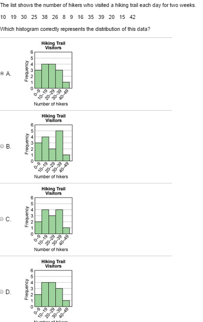
C, because with a class width of 10, you only need to look at how high up the y-axis the bars go (e.g the first bar for C goes up to 3), and then count how many points of data in the list fit in to that class width. So if you count 3 pieces of data, then the frequency would be 3. As the histogram shows.
You might be interested in
Sometimes lack of motivation carries a message that’s worth heeding.<br> A).True<br> B).False
Hatshy [7]
The answer to this question would be A. True.

Lack of motivation indeed carries a message that is worth heeding. These extremes are all carriers of messages that might be that the one posing as their mother ship can't express what they really want, thus they conform to the wills and demands of other people most likely their parents or friends. Another possibility would be that they want to escape or forget it or even hide it from other people. A lack of motivation tells the observer that the one being observed is most likely doing something which isn't in line with the person's passion.
4 0
4 years ago
Based on The Riddle of the Rosetta Stone, what role did Sylvestre de Sacy play in Jean-François Champollion’s career? De Sacy ga
Goryan [66]

Answer:

Hiii! The answer is A, De Sacy gave Champollion a job, which allowed him to earn a living while continuing to decipher the writings on the Rosetta Stone.

Explanation: Took the test!

4 0
3 years ago
Read 2 more answers
Use the term “demand” and “quantity demanded” correctly in a sentence about concert tickets
Tema [17]

Demand and Quantity demanded can be used in a sentence as follows:

The spectators had an urgent demand for concert tickets but the quantity demanded exceeded our capabilities.

<h3 /><h3>What is Demand?</h3>

Demand refers to the quest for something. When one demands a thing, he or she is supplied it if available. Quantity demanded refers to the number of materials requested.

The two terms have been used appropriately in the sentence above.

Learn more about demand here:

brainly.com/question/1245771

4 0
3 years ago
PLISS HELP ASAP-Identify the point of view in the following passage.
Basile [38]

Answer: Third person objective

Explanation:

The narrator is an outside observer and can only relay to the reader what they're seeing. He isn't inside the boy's mind, he just narrates what is happening to the boy

6 0
3 years ago
HELPP FAST. PLS Which statement is the best inference from the explicit and implicit details in
Ivan

Answer:

c

Explanation:

5 0
3 years ago
Other questions:
  • 1. In The Tragedy of Romeo and Juliet Act II, what is the main reason that Friar Laurence agrees to perform the marriage of Rome
    11·1 answer
  • Ethan Frome test please check my answers and correct them if they are wrong
    8·1 answer
  • Please help me!!! and I'll give you 15 points!
    14·1 answer
  • Many works of modern fiction draw on characters from mythology. Hercules was commonly known as a misfit hero, an unexpected hero
    6·1 answer
  • Please help. I’ll mark you as brainliest if correct!!!
    9·2 answers
  • The Coast Guard had been monitoring the strong winds and high waves. The Coast Guard Cutter Florida was headed toward the beach
    9·2 answers
  • How does the pile of rocks change over the course of the<br> story?
    9·1 answer
  • We buy lots of goodies ______Christmas​
    7·2 answers
  • If you were a Japanese citizen listening to FDR's speech, how might it affect you
    8·1 answer
  • Choose the correct option.Juan is ______ a vacation trip , he is visiting the great pyramid of giza.A. On B. In C. At
    6·2 answers
Add answer
Login
Not registered? Fast signup
Signup
Login Signup
Ask question!