1answer.
Ask question
Login Signup
Ask question
All categories
  • English
  • Mathematics
  • Social Studies
  • Business
  • History
  • Health
  • Geography
  • Biology
  • Physics
  • Chemistry
  • Computers and Technology
  • Arts
  • World Languages
  • Spanish
  • French
  • German
  • Advanced Placement (AP)
  • SAT
  • Medicine
  • Law
  • Engineering
trasher [3.6K]
3 years ago
11

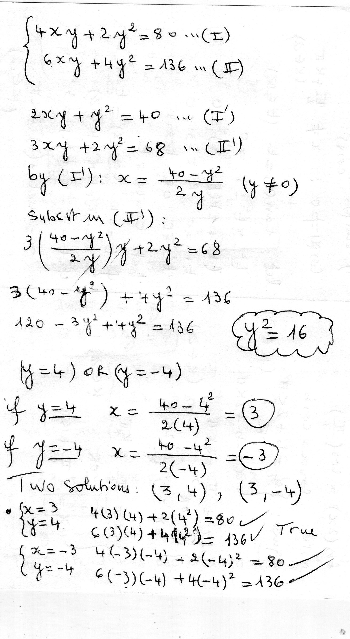
Solve 4xy + 2y2 = 80 and 6xy + 4y2 = 136 for x and y.

Mathematics
1 answer:
Hunter-Best [27]3 years ago
3 0
Hello here is a solution : 

You might be interested in
Please help me
Alla [95]

Answer:

Step-by-step explanation:

<em>Let one number = x </em>

<em>Let the other number = y </em>

<em>  </em>

<em>x + y = 9 </em>

<em>  </em>

<em>xy2  is a maximum </em>

<em>  </em>

<em>  </em>

<em>Since we need positive numbers, we assign values of x and y respectively that will give us a sum of 9. </em>

<em>  </em>

<em>x: 0, 1, 2, 3, 4, 5, 6, 7, 8, 9 </em>

<em>  </em>

<em>y: 9, 8, 7, 6, 5, 4, 3, 2, 1, 0 </em>

<em>  </em>

<em>  </em>

<em>Next, we square the values of y. </em>

<em>  </em>

<em>y2: 81, 64, 49, 36, 25, 16, 9, 4, 1, 0 </em>

<em>  </em>

<em>  </em>

<em>Next, we multiply x by y2 to see which product is the highest value. </em>

<em>  </em>

<em>x  : 0  , 1  , 2  , 3 , 4  , 5  , 6, 7, 8, 9 </em>

<em>y2 : 81, 64, 49, 36, 25, 16, 9, 4, 1, 0 </em>

<em>  </em>

<em>  </em>

<em>We can eliminate x = 0, x = 8 , and x = 9 , since the product of xy2 is of lowest value. </em>

<em>  </em>

<em>1 x 64 = 64 </em>

<em>2 x 49 = 92 </em>

<em>3 x 36 = 108 </em>

<em>4 x 25 = 100 </em>

<em>5 x 16 = 80 </em>

<em>6 x 9 = 54 </em>

<em>7 x 4 = 28 </em>

<em>  </em>

<em>The highest product value here is 108.  </em>

<em>  </em>

<em>The two numbers in the solution are 3 and 6.</em>

7 0
3 years ago
An ice cream store with 12 different flavors sell one and two scoop ice cream cones. A boy sitting outside the store counted 11
eduard
The answer is b and e
6 0
3 years ago
Read 2 more answers
I have a Brainliest please help me
Marat540 [252]

40 * 7.85 = 314

32.24 + 24.02 + 24.53 = 80.79


314 - 80.79 = 233.21

 Answer is D

6 0
4 years ago
Read 2 more answers
The difference between twice a number and a number that is 5 more than it is 3. Which of the following equations could be used t
saw5 [17]

Answer:

Step-by-step explanation:

Let the number = x

<u><em>2x - (x + 5) = 3 </em></u> Answer

Now Let's solve it.

2x - x - 5 = 3

x - 5 = 3

x = 8

Check

2*8 - (8 + 5)

16 - 13

3

which is exactly what the right hand sign is.

5 0
3 years ago
Stephanie spends $15 each month to belong to a photography club. As a member of the club she can develop rolls of film for $2.50
barxatty [35]

Answer:

The answer is A.  This is because 2.50 times 5 is 12.50.  12.50 added with the photography monthly bill of $15 equals 27.50.

If this helped let me know! Have a great day! :)

6 0
4 years ago
Read 2 more answers
Other questions:
  • What’s -2.8f +0.9f +12 + 4
    11·1 answer
  • A number multiplied by -7, subtracted drom the sum of 7 and five times athe number
    9·2 answers
  • you lease a car valued at 23,495 for 3 years at $429.95/month with a $500 down payment. If interest is 30% of the payment, how m
    13·2 answers
  • Consider the graph of f(x) given below.
    8·1 answer
  • 25 points. Math question
    9·1 answer
  • 26. Pauline's health club has an enrollment fee
    13·1 answer
  • Help<br>Which table contains ordered pairs that lie on the graph of the equation -2x + 4y = 16?
    5·2 answers
  • The recipe requires cups of flour and teaspoons of salt
    8·1 answer
  • I need to find what AE is
    15·2 answers
  • A toy has various shaped objects that a child can push through matching holes. The area of the square hole is 12 square centimet
    8·1 answer
Add answer
Login
Not registered? Fast signup
Signup
Login Signup
Ask question!