1answer.
Ask question
Login Signup
Ask question
All categories
  • English
  • Mathematics
  • Social Studies
  • Business
  • History
  • Health
  • Geography
  • Biology
  • Physics
  • Chemistry
  • Computers and Technology
  • Arts
  • World Languages
  • Spanish
  • French
  • German
  • Advanced Placement (AP)
  • SAT
  • Medicine
  • Law
  • Engineering
Dennis_Churaev [7]
3 years ago
14

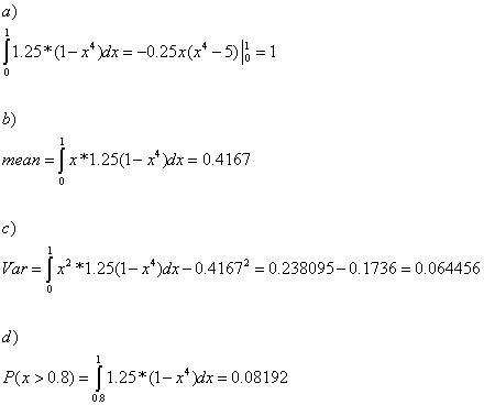
6. A hole is drilled in a sheet-metal component, and then a shaft is inserted through the hole. The shaft clearance is equal to

the difference between the radius of the hole and the radius of the shaft. Let the random variable X denote the clearance, in millimeters. The probability density function of X is: f(x) = 1.25 (1-x4) when 0

Mathematics
1 answer:
Damm [24]3 years ago
5 0

Find below attachment

You might be interested in
in one study of smokers who tried to quit smoking with nicotine patch therapy 39 were smoking one year​
andrey2020 [161]

Answer:

Step-by-step explanation:

8 0
3 years ago
PLEASE HELP I NEED THIS
Alecsey [184]

Answer:

See below.

Step-by-step explanation:

1) 3 congruent sides and 3 congruent angles: equilateral, equiangular, acute

2) 2 congruent sides and a right angle: right isosceles

3) 2 congruent sides and an obtuse angle: obtuse isosceles

4) 1 obtuse angle and all different lengths of sides: obtuse scalene

5) 1 right angle and all different side lengths: right scalene

6) 2 congruent sides, all acute angles: acute isosceles

7) x + 2 = 10

x = 8

8) 10x + 3 + 10x + 3 + 34 = 180

20x + 40 = 180

20x = 140

x = 7

6 0
3 years ago
Help me determine if relations 1, 2, 3, and 4 are functions or not please!
Reil [10]
They are all not functions
5 0
3 years ago
If (9k, 7k) and (6k, 5k) are two points the graph if a line and k is not equal to 0 what is the sople of the line
olga_2 [115]

Answer:

The answer is 2/3

Step-by-step explanation:

In order to find the slope, we need to use the slope formula.

m (slope) = (y1 - y2)/(x1 - x2)

Now we can plug the points into the equation and solve.

m (slope) = (y1 - y2)/(x1 - x2)

m (slope) = (7k - 5k)/(9k - 6k)

m (slope) = 2k/3k

m (slope) = 2/3

4 0
3 years ago
Rewrite 35 +63 as two factors
mestny [16]
The answer would be the GCF (7), and the sum of the quotients after dividing 35 and 63 by 7 (5 +9=14)  so the answer would be the numbers 7 and 14.
7 0
4 years ago
Other questions:
  • Simplify the given equation. 5x + 2(x - 3) = -2(x - 1)
    14·1 answer
  • What is the value of 9 - [42 - (3 + 2)].
    5·1 answer
  • Part A: Explain why the x-coordinates of the points where the graphs of the equations y = 4^–x and y = 2^x+3 intersect are the s
    5·1 answer
  • What is the intersection of the given lines? AB←→ and EB←→
    6·2 answers
  • Your typical markup for merchandise is 40%. Your cost on an item is $8.00. Calculate the selling price.
    8·1 answer
  • Which choices name a chord of circle F?
    5·1 answer
  • A large pizza is ever ties have a 14 inch diameter if a customer orders two large pizzas how many square inches of pizza will he
    13·1 answer
  • Please help the one i used red marker to cross out dont do it. tyy
    10·2 answers
  • Please helppp, its due today and I have a bunch of other stuff to do!! I would appreciate all the help
    9·1 answer
  • The regular price of a pair of jeans is $49.50. During a sale, the jeans were marked as 15% off. What was the approximate price
    8·2 answers
Add answer
Login
Not registered? Fast signup
Signup
Login Signup
Ask question!