1answer.
Ask question
Login Signup
Ask question
All categories
  • English
  • Mathematics
  • Social Studies
  • Business
  • History
  • Health
  • Geography
  • Biology
  • Physics
  • Chemistry
  • Computers and Technology
  • Arts
  • World Languages
  • Spanish
  • French
  • German
  • Advanced Placement (AP)
  • SAT
  • Medicine
  • Law
  • Engineering
Dvinal [7]
3 years ago
3

Find the transition matrix from B toB',the transition matrix fromB'to B, verify that the two transition matrices are inverses of

each other, and find the coordinate matrix[x]B',given the coordinate matrix[x]B.B = {(−2, 1), (1, −1)}, B' = {(0, 2), (1, 1)}, [x]B =8 −7T

Mathematics
2 answers:
Elis [28]3 years ago
8 0

Answer:

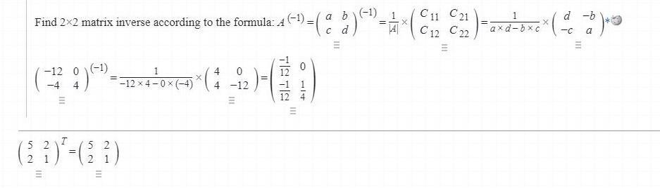
a. {(5,2), (2,1)

b. {(-1/12, 0), (-1/12, 1/4)

c. Yes

Step-by-step explanation:

You've an incomplete question. However the following answers could be gotten from this sample question;

Consider the following.

B = {(5, 2), (2, 1)},

B' = {(−12, 0), (−4, 4)},

[x]B' = [-1,3]

(a) Find the transition matrix from B to B'.

(b) Find the transition matrix from B' to B.  

(c) Verify that the two transition matrices are inverses of each other

Also attached is an image solution for answer (b)

liubo4ka [24]3 years ago
3 0

Answer:

The problem is solved using Matlab, code and step by step explanation is provided below.

Matlab Code with Step-by-Step Explanation:

clc  

clear all  

format rat  

% We are given two 2x2 matrices B and B' (transpose) and one transpose coordinate matrix xB' (xBT)

B = [-2 1; 1 -1]  

BT= [0 1; 2 1]  

xBT = [8;-7]  

B =

     -2              1        

      1             -1        

BT =

      0              1        

      2              1        

xBT =

      8        

     -7        

a) Find the transition matrix from B to B'

% First of all, create a augmented matrix B' B

Aug=[BT B]  

Aug =

      0              1             -2              1        

      2              1              1             -1        

% Apply Gauss-Jordan elimination using the function rref() and store the result in variable ans  

ans=rref(Aug)  

ans =

      1              0              3/2           -1        

      0              1             -2              1          

% As you can see the transition matrix B to B' is our answer which is located in the 3rd and 4th column so we will extract it and store it B_BT variable.

B_BT = ans(:,[3 4])  

B_BT =

      3/2           -1        

     -2              1      

b) Find the transition matrix from B' to B

% First of all, create a augmented matrix B B'

Aug2=[B BT]  

Aug2 =

     -2              1              0              1        

      1             -1              2              1        

% Again apply Gauss-Jordan elimination using the function rref() and store the result in variable ans2  

ans2=rref(Aug2)  

ans2 =

      1              0             -2             -2        

      0              1             -4             -3        

% As you can see the transition matrix B' to B is our answer which is located in the 3rd and 4th column so we will extract it and store it BT_T variable.

BT_B = ans2(:,[3 4])  

BT_B =

     -2             -2        

     -4             -3    

c) verify that the two transition matrices are inverses of each other

We know that a 2x2 identity matrix is given by

identity=eye(2)  

identity =

      1              0        

      0              1        

If we multiply the two transition matrices and get an indentity matrix then it means that two transition matrices are inverse of each other.

ans=B_BT*BT_B  

ans =

      1              0        

      0              1            

ans2=BT_B*B_BT  

ans2 =

      1              0        

      0              1  

Hence, we got the identity matrix therefore, the two transition matrices are inverse of each other.

d) find the coordinate matrix XB

% The coordinate matrix XB can be found by multiplying the transpose coordinate matrix (xB') with the transition matrix B' to B (BT_B)

xB = BT_B*xBT

xB =

     -2        

    -11

You might be interested in
Helppppppppppppppppppppppppppppp
Vladimir [108]

Answer:

\sf \dfrac{3}{4y}

Step-by-step explanation:

Simplify:

  45 = 5 * 3 * 3

  60 = 5 * 3 * 2 * 2

GCF = 5*3 = 15

           \sf \dfrac{45x^2}{60x^2y}=\dfrac{45}{60y}

                     \sf =\dfrac{45 \div 15}{60y \div 15}\\\\= \dfrac{3}{4y}

3 0
1 year ago
Read 2 more answers
The graph of a line passes through the points (0,2) and (6,0). What is the equation of the line?
Dahasolnce [82]

Answer:

y= -1/3x + 2

Step-by-step explanation:

y=my+p

m=(0-2)/(6-0) = -1/3

p=2 ,because the line passes through the points (0,2)

7 0
4 years ago
Read 2 more answers
Franko's Pizza is selling their pizzas 35% cheaper than usual. If a pizza normally cost $12 how much is it now? (Show Work)
barxatty [35]
$7.80   hope this helps :)
4 0
3 years ago
The measure of angle x is 7pi/4. The measure of its reference angle is
olga nikolaevna [1]
Check the picture below

what would that angle be?

5 0
3 years ago
Mrs. Aguirre is going to plant a rectangular garden in her rectangular backyard, as
pantera1 [17]

Answer:

The answer is below

Step-by-step explanation:

From the image attached we can see that the width of the garden is 6 ft. The length of the garden is the slanting side of the triangle (hypotenuse).

Let x be the length of the garden. The height of the triangle = 40 ft - 15 ft = 25 ft.

The base of the triangle = 80 ft - 75 ft = 5 ft.

The length of the garden is gotten using Pythagoras:

x² = 25² + 5²

x² = 650

x = 25.5 ft.

The area of the garden = length * width = 25.5 * 6 = 153 ft²

Hence the approximate area = 160 ft²

4 0
3 years ago
Other questions:
  • What is the ratio of 168 and 439
    12·1 answer
  • 2. y + 2x = 12 for D = {2,3,4}<br> What’s the domain and range
    6·1 answer
  • Four oranges at juicy deals grocery store cost $6.
    8·2 answers
  • Which of the following number sentences is an example of the commutative property of multiplication?
    15·1 answer
  • Hey can you please help me posted picture of question
    8·1 answer
  • Traveling at 45 miles per hour, how many minutes, rounded to the nearest whole number, does it take to drive 240 miles from Orla
    14·1 answer
  • I had $3.00. My Mom gave $10.00. My Dad gave $30.00. My Aunt and Uncle gave me $100.00. I had another $7.00. How much did I have
    6·2 answers
  • Please help me !! I’ll give brainliest
    7·2 answers
  • a copy of a document that was originallly 24 in by 36 in is now 8 in by 12 in. what scale was used for the reduction
    14·1 answer
  • Circle S is shown. Line segment R T is a diameter. The length of S T is 4. Sector R S T is shaded.
    6·1 answer
Add answer
Login
Not registered? Fast signup
Signup
Login Signup
Ask question!