1answer.
Ask question
Login Signup
Ask question
All categories
  • English
  • Mathematics
  • Social Studies
  • Business
  • History
  • Health
  • Geography
  • Biology
  • Physics
  • Chemistry
  • Computers and Technology
  • Arts
  • World Languages
  • Spanish
  • French
  • German
  • Advanced Placement (AP)
  • SAT
  • Medicine
  • Law
  • Engineering
dolphi86 [110]
4 years ago
14

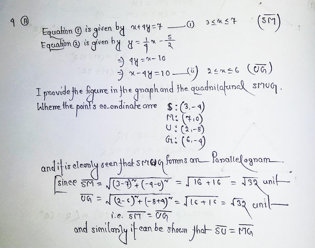
Am I doing this right so far?

Mathematics
1 answer:
puteri [66]4 years ago
4 0
You missing something...
You might be interested in
When you multiply a pair of conjugates you get a real number
marusya05 [52]

Answer: The complex conjugate has a very special property. Consider what happens when we multiply a complex number by its complex conjugate. We find that the answer is a purely real number  it has no imaginary part. This always happens when a complex number is multiplied by its conjugate the result is real number.

Real numbers can be positive or negative, and include the number zero. They are called real numbers because they are not imaginary, which is a different system of numbers

Step-by-step explanation: Every complex number has a complex conjugate. The complex conjugate of a + bi is a - bi. For example, the conjugate of 3 + 15i is 3 - 15i, and the conjugate of 5 - 6i is 5 + 6i.

4 0
3 years ago
Please explain what I am to do with this problem <br> 1x= -1; x+5=4
alexandr1967 [171]
1x=-1
that means whererever you see x, you replace it with -1

x is a placeholder for an unknown number

so repolace it

-1+5=4
5-1=4
true

3 0
3 years ago
Please help. Brainliest for the best explanation.
Virty [35]
Explanation of what exactly
5 0
4 years ago
Select the correct answer. What is the completely factored form of this polynomial? 5x4 + 20x3 − 105x2 A. 5x2(x − 3)(x + 7) B. 5
Alik [6]

Answer:

the correct answer would be C

Step-by-step explanation:

3 0
3 years ago
How many meters does 20 yards equal
laiz [17]
20 yards equals 18.288 m
8 0
3 years ago
Other questions:
  • The amount of money that high school students spend on fast food each month is usually between $50 and $200. However, there are
    8·2 answers
  • Which of the following is the equation of a line that passes through the point (1,4) and is parallel to the x-axis A. Y=1 B. Y=4
    9·1 answer
  • James is supposed to feel his dog 1 1/3 cups of dog food every day. James doesn’t want his dog to eat all of the food at once, s
    10·1 answer
  • If $10,000 is borrowed at an APR of 18%, for a period of 5 years and payments are made monthly, what will be the monthly payment
    5·1 answer
  • Can someone please help I will do anything
    12·1 answer
  • If the length and width of a rectangle are tripled, the area of that rectangle will increase by what percentage? A) 9% B) 90% C)
    13·1 answer
  • I need help with this please help
    14·1 answer
  • 10 POINTS!
    5·2 answers
  • Jin, Deb, and Bashir raised $135.78 for their soccer team. Deb raised $34 less than Bashir, who raised $29 more than Jin.
    14·1 answer
  • A cube has side length 4 centimeters is 25% full of sand.what is the volume of the sand?
    15·2 answers
Add answer
Login
Not registered? Fast signup
Signup
Login Signup
Ask question!