1answer.
Ask question
Login Signup
Ask question
All categories
  • English
  • Mathematics
  • Social Studies
  • Business
  • History
  • Health
  • Geography
  • Biology
  • Physics
  • Chemistry
  • Computers and Technology
  • Arts
  • World Languages
  • Spanish
  • French
  • German
  • Advanced Placement (AP)
  • SAT
  • Medicine
  • Law
  • Engineering
vlabodo [156]
4 years ago
6

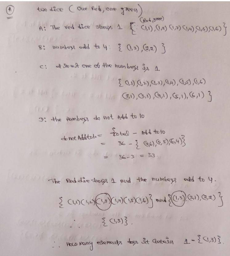
A. Suppose two dice (one red, one green) are rolled. Consider the following events. A: the red die shows 1; B: the numbers add t

o 4; C: at least one of the numbers is 1; and D: the numbers do not add to 10. Express the given event in symbols.
The red die shows 1 and the numbers add to 4.
How many elements does it contain?
B. Suppose two dice (one red, one green) are rolled. Consider the following events. A: the red die shows 3; B: the numbers add to 2; C: at least one of the numbers is 1; and D: the numbers do not add to 10. Express the given event in symbols. HINT [See Example 5.]
The numbers do not add to 2.
How many elements does it contain?
C. Suppose two dice (one red, one green) are rolled. Consider the following events. A: the red die shows 1; B: the numbers add to 2; C: at least one of the numbers is 3; and D: the numbers do not add to 11. Express the given event in symbols. HINT [See Example 5.]
Either the numbers add to 11 or the red die shows a 1.
How many elements does it contain?
D. Suppose two dice (one red, one green) are rolled. Consider the following events. A: the red die shows 4; B: the numbers add to 5; C: at least one of the numbers is 1; and D: the numbers do not add to 9. Express the given event in symbols. HINT [See Example 5.]
Either the numbers add to 5, or they add to 9, or at least one of them is 1.
How many elements does it contain?

Mathematics
1 answer:
OLga [1]4 years ago
7 0

Answer:

1. elements it contains =  (1,3)

2.  elements it contains = 35

3.  elements it contains = 8

4.  elements it contains = 17

Step-by-step explanation:

A. Suppose two dice (one red, one green) are rolled. Consider the following events. A: the red die shows 1; B: the numbers add to 4; C: at least one of the numbers is 1; and D: the numbers do not add to 10. Express the given event in symbols.

The red die shows 1 and the numbers add to 4.

How many elements does it contain?

B. Suppose two dice (one red, one green) are rolled. Consider the following events. A: the red die shows 3; B: the numbers add to 2; C: at least one of the numbers is 1; and D: the numbers do not add to 10. Express the given event in symbols. HINT [See Example 5.]

The numbers do not add to 2.

How many elements does it contain?

C. Suppose two dice (one red, one green) are rolled. Consider the following events. A: the red die shows 1; B: the numbers add to 2; C: at least one of the numbers is 3; and D: the numbers do not add to 11. Express the given event in symbols. HINT [See Example 5.]

Either the numbers add to 11 or the red die shows a 1.

How many elements does it contain?

D. Suppose two dice (one red, one green) are rolled. Consider the following events. A: the red die shows 4; B: the numbers add to 5; C: at least one of the numbers is 1; and D: the numbers do not add to 9. Express the given event in symbols. HINT [See Example 5.]

Either the numbers add to 5, or they add to 9, or at least one of them is 1.

How many elements does it contain?

NB. Attached is the solution to the problems stated above

You might be interested in
If f(1) = 12 and f(4) = -3, find the average rate of change off from 1 to 4.
sergey [27]

Compute the difference quotient:

(<em>f</em> (4) - <em>f</em> (1)) / (4 - 1) = (-3 - 12) / 3 = -15/3 = -5

6 0
3 years ago
Evaluate the expression??<br> -5/k+1 for k =-1
vladimir2022 [97]

Answer:

undefined

Step-by-step explanation:

Order of Operations: BPEMDAS

Step 1: Define

-5/(k + 1)

k = -1

Step 2: Substitute and Evaluate

-5/(-1 + 1)

-5/0

undefined (we cannot divide anything by 0)

8 0
4 years ago
Which of these numbers has the highest value? -22, 0.0099, 0 , -1, &amp;. |-1|
swat32
The highest value is 0.
8 0
4 years ago
Read 2 more answers
It costs dylan $x$ dollars to buy $3$ tickets to the zoo. he discovers that if he were to buy $5$ tickets, he would receive a to
jonny [76]

So, if Dylan has x dollars and he bought 3 tickets with them, the tickets were priced at k dollars per ticket. If he bought 5 tickets with the x dollars and saved 12 total dollars, it would be the same as buying the tickets with x-12 dollars, so we have:

\frac{x}{3}=k\\ \frac{x-12}{5}=q

So, with this we have:

x=3k\\ x=5q+12

If we're looking for a number that satisfies these constraints, we can work with modular arithmetic. We have:

x\equiv 0 \pmod{3}\\ x\equiv 12 \pmod{5}

So, we can use the chinese remainder theorem here. So, we clearly have x=3k, which means:

3k\equiv12 \pmod{5} \implies\\ k \equiv 4 \pmod{5} \implies\\ k=5j+4

So, since we have x=3k, we also have x=3(5j+4)=15j+12.

So, clearly j=0 won't work so we should have j=1. That means our money per ticket for the five tickets is:

\frac{27-12}{5}=3

And our money per three tickets is:

\frac{27}{3}=9

This is easily verifiable. Three tickets needs 27 dollars and 5 tickets needs 15 dollars, which is 12 less than 27 dollars. So we have our money per three dollar ticket at 6 more than money per five dollar.

4 0
3 years ago
Read 2 more answers
Which of the following translations is needed to carry ΔEFG onto its image ΔE'F'G'?
zhannawk [14.2K]

The transformation rule needed to generate the triangle E'F'G' is (x, y) → (x - 4, y + 11).

<h3>What is the transformation rule for the translation of a triangle?</h3>

Herein we see the triangle EFG and the triangle E'F'G', result of the translation of the former triangle.

A triangle is generated by three non-collinear points. Translation is a kind of rigid transformation and there is a translation if and only if each pair of related points is related to one and same translation vector:

T(x, y) = P'(x, y) - P(x, y)           (1)

Where:

  • P(x, y) - Original point
  • P'(x, y) - Resulting point

Now we proceed to check if the triangle E'F'G' is the result of a translation:

T₁(x, y) = E'(x, y) - E(x, y)

T₁(x, y) = (- 9, 4) - (- 5, - 7)

T₁(x, y) = (- 4, 11)

T₂(x, y) = F'(x, y) - F(x, y)

T₂(x, y) = (- 7, 8) - (3, - 3)

T₂(x, y) = (- 4, 11)

T₃(x, y) = G'(x, y) - G(x, y)

T₃(x, y) = (- 2, 3) - (2, - 8)

T₃(x, y) = (- 4, 11)

The transformation rule needed to generate the triangle E'F'G' is (x, y) → (x - 4, y + 11).

To learn more on rigid transformations: brainly.com/question/28004150

#SPJ1

6 0
2 years ago
Other questions:
  • Click on the median in this set of data. 15,21,25,63,8
    7·1 answer
  • Can someone help me I suck at math I would really appreciate it
    11·1 answer
  • Log_7 10<br><br> Approximate to four decimal places
    14·1 answer
  • Find the slope mathematics
    6·1 answer
  • A bakery makes 40 different kinds of muffins. 25% of the muffins have chocolate as an ingredients. How many kinds of muffins hav
    11·2 answers
  • If -1 2/3 is subtracted from 5 1/2, what will be the result?
    12·2 answers
  • Which of the following would be the best equation for the function of the values for Frankie’s reading?
    5·2 answers
  • Is 14 a rational number.?
    9·1 answer
  • Simplify the expression -8(-w - 2) =
    10·2 answers
  • Which of the following is the solution to the system of linear equations? ​
    15·1 answer
Add answer
Login
Not registered? Fast signup
Signup
Login Signup
Ask question!