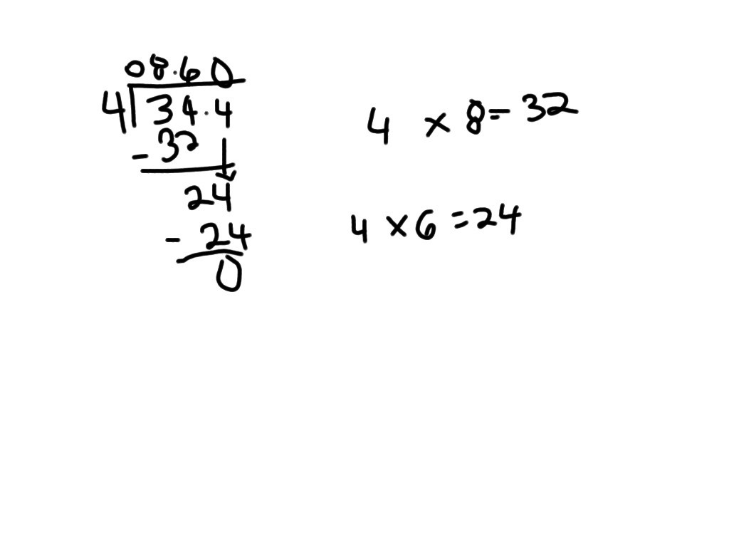
Answer: Rational
Step-by-step explanation: To determine whether -3/4 is rational or irrational, remember that all fractions positive or negative are rational numbers.
Therefore, -3/4 is a rational number.
Answer: $107
Step-by-step explanation:
Tip = 20 % of $90
= 20/100 × $90
=$18
Sales tax at 10% = 10/100 × $90
= $9
Total cost= $90 + $18 + $9
= $107
The answer is A my dude, this is easy math lol
Answer:
A
Step-by-step explanation:
Times 3/8 by two and get the 6/16, which has the same denominator as 7/16. Then, add 6/16 and 7/16, and you'll get an answer of 13/16.
Hope this helped, have a wonderful rest of your week! :)
Slope-intercept form: y = mx + b
[m is the slope, b is the y-intercept or the y value when x = 0 ---> (0, y) or the point where the line crosses through the y-axis]
To find the slope, you use the slope formula:
And plug in the two points
(-6, 2) = (x₁ , y₁)
(1, 16) = (x₂ , y₂)

[two negatives cancel each other out and become positive]


m = 2 Now that you found m, plug it into the equation
y = mx + b
y = 2x + b To find b, plug in one of the points into the equation
(-6, 2)
y = 2x + b
2 = 2(-6) + b
2 = -12 + b Add 12 on both sides
14 = b
(1, 16)
y = 2x + b
16 = 2(1) + b Subtract 2 on both sides
14 = b
Now that you found b, plug it into the equation
y = 2x + 14