1answer.
Ask question
Login Signup
Ask question
All categories
  • English
  • Mathematics
  • Social Studies
  • Business
  • History
  • Health
  • Geography
  • Biology
  • Physics
  • Chemistry
  • Computers and Technology
  • Arts
  • World Languages
  • Spanish
  • French
  • German
  • Advanced Placement (AP)
  • SAT
  • Medicine
  • Law
  • Engineering
andreyandreev [35.5K]
4 years ago
7

Can someone explain the quadratic formula to me.

Mathematics
2 answers:
andreev551 [17]4 years ago
7 0

Answer:

[See Below]

Step-by-step explanation:

Here are some pictures to help you.

antoniya [11.8K]4 years ago
4 0

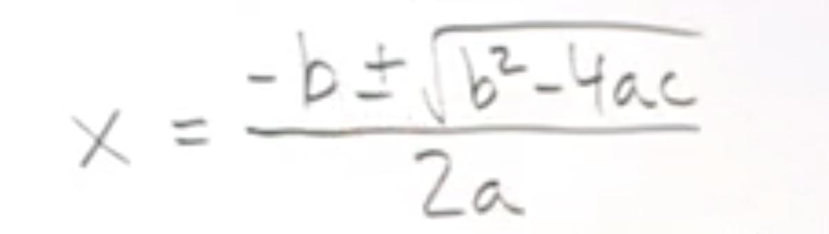
The quadratic formula is shown below.

The beauty of the quadratic formula is that as long as your quadraticis in the form ax² + bx + c = 0, where a, b, and c are integers, you can go straight to the answer by simply plugging your values for a, b, and c into the quadratic formula.

It's a good idea to memorize it.

Believe me it's worth it, you'll be using it all the time.

You might be interested in
Question 6 of 10
11Alexandr11 [23.1K]

Answer:

Midpoint calculator, formula, example calculation (work with steps), real world ... and practice problems to learn how to find midpoint of a line segment in geometry. ... Cartesian coordinate plane and find the halfway point between two given ... line segment having 2 end points A at coordinates (5,8) and B at coordinates (3,2).

Step-by-step explanation:

Midpoint calculator, formula, example calculation (work with steps), real world ... and practice problems to learn how to find midpoint of a line segment in geometry. ... Cartesian coordinate plane and find the halfway point between two given ... line segment having 2 end points A at coordinates (5,8) and B at coordinates (3,2).

4 0
3 years ago
Which expression means the sum of 5 and a number? A. g × 5 B. g – 5 C. g + 5 D. g ÷ 5
wel
For this case, the first thing you should do is define a variable.
 We have then:
 g: unknown number.
 We now write the expression in algebraic form.
 the sum of 5 and a number:
 g + 5
 Answer:
 
An expression that means the sum of 5 and a number is:
 
C. g + 5
5 0
3 years ago
Help pls will give Brainly points
aliina [53]

Answer is 4 so it is = to x = 4

Because the numbers is the same and the lines is the same.

x = 4

b is 4

hope this helps pls give me brainly points thx.

4 0
3 years ago
Which of the following has no solution?
Sholpan [36]
The first one.
This statement is saying that x is less than zero and greater than zero at the same time. This is not possible. A number cannot be both negative and positive.
It's not the second one because this one includes equal to zero. It can be lass than or equal to zero and greater that or equal to zero because it can be ZERO.
It's not the third because this one is an OR statement. It can be less than or equal to zero OR greater than or equal to zero.
I hope you understand
8 0
3 years ago
3a squared cubed over 9
Arlecino [84]

The question is asking for the number form of this equation. Let's break it down in order.

Given: 3a squared cubed over 9

3a(3a) squared(3a^2) cubed ((3a^2)^3) over 9((3a^2)^3/9)

Written: ((3a^2)^3)/9

Answer: ((3a^2)^3)/9

The parenthesis around the 3a^2 means to do that first. The parenthesis around (3a^2)^3 is to show to divide the whole entire number by nine. If you have any other questions, let me know! I will try to help any way I can :)

5 0
3 years ago
Other questions:
  • The difference of 9 times a number and 2 is 67. Which equation below can be used to find the unknown number?
    8·1 answer
  • Harry notes that the state sales tax went from 2% to 2.5%, which he says is not too bad because it's just a one-half percent inc
    7·1 answer
  • -3m = 4m + 14 I'm so confused on how to do it
    9·2 answers
  • during a snow storm 30 inches of snow fell in 8 hours what is the rate of snowfall in inches per hour
    13·1 answer
  • The manager of The Cheesecake Factory in Boston reports that on six randomly selected weekdays, the number of customers served w
    6·1 answer
  • Circumference <br><br> What is the circumstances <br> Please help me and thnx u if u help me on this
    11·2 answers
  • I need help please!
    8·1 answer
  • Mrs. Smith is making homemade silly putty for the children in her class. Here is how the ingredients are mixed:
    6·1 answer
  • Help on this question
    12·1 answer
  • How do you do 58??????
    8·2 answers
Add answer
Login
Not registered? Fast signup
Signup
Login Signup
Ask question!