1answer.
Ask question
Login Signup
Ask question
All categories
  • English
  • Mathematics
  • Social Studies
  • Business
  • History
  • Health
  • Geography
  • Biology
  • Physics
  • Chemistry
  • Computers and Technology
  • Arts
  • World Languages
  • Spanish
  • French
  • German
  • Advanced Placement (AP)
  • SAT
  • Medicine
  • Law
  • Engineering
choli [55]
3 years ago
12

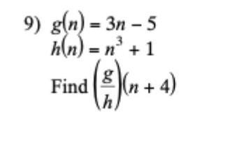
How do i solve this ?(picture above)​

Mathematics
1 answer:
OLga [1]3 years ago
3 0

Answer:

I can see that you attached a picture but its not loading for some reason :(

Step-by-step explanation:

wish i could help.. mabye try re uploadin gthe question?

You might be interested in
The perimeter of a rectangle is 70 cm. The ratio of length to width is 2:5. Find the length and width of the rectangle.
olya-2409 [2.1K]

Answer:

length = 10 cm; width = 25 cm

Step-by-step explanation:

Let's call the length 2x and the width 5x. Since perimeter can be calculated by multiplying the sum of the length and width by 2 we can write:

2 * (2x + 5x) = 70

2 * (7x) = 70

7x = 35

x = 5 which means the length is 2 * 5 = 10 and the width is 5 * 5 = 25.

5 0
3 years ago
Find the approximate side length of a square game board with an area of 123 inches to the second power
aleksklad [387]
61.5 or 61 and one half
4 0
3 years ago
Petra jogs 2 miles in 24 mins. at this rate how long would it take her to jog 7 miles?
Wewaii [24]
The answer would be 84 because 2miles is equal to 24 minutes so you would break that in half down to one mile. One mile would be 12 minutes. So you would multiply 12 times 7 which equals 84 which would be your answer.
7 0
2 years ago
_<br>0.6 written as a fraction is ._____ <br><br>O 6/10<br>O 2/3<br>O 1/3​
Virty [35]

6/10

Hope it helps yah (◕ᴗ◕✿)

4 0
3 years ago
Read 2 more answers
In quadrants 1 and 3 the x-coordinate of a point is positive?
True [87]

no because one is negative and the other is positive so no it didn't

7 0
3 years ago
Other questions:
  • How do I solve this
    15·1 answer
  • What pair of factors of −42 has a sum of 1?
    12·1 answer
  • you are trying to decide which cell phone plan to purchase. Plan A chargeres $40 for a new phone and $20 a month for usage. Plan
    14·2 answers
  • Find the distance between the points (-3, 11) and (5, 5).<br><br> 10<br><br> 2<br><br> 2
    5·2 answers
  • 2, 9, 16, 23, Number pattern expression equations
    14·2 answers
  • A tree trunk has r rings after growing for y years. what is the dependent variable?
    6·1 answer
  • X to the second power equals 169 what is x to the second power equals 169 what is x
    6·1 answer
  • Jon can run at a rate of 9.5 miles per hour. How long will it take Jon to run 23.75 miles?
    8·1 answer
  • What is the value of x?<br> 70°<br> 35°<br> А. 350<br> В. 950<br> ООО<br> С. 105°<br> D. 75
    11·2 answers
  • Please help............
    9·1 answer
Add answer
Login
Not registered? Fast signup
Signup
Login Signup
Ask question!