1answer.
Ask question
Login Signup
Ask question
All categories
  • English
  • Mathematics
  • Social Studies
  • Business
  • History
  • Health
  • Geography
  • Biology
  • Physics
  • Chemistry
  • Computers and Technology
  • Arts
  • World Languages
  • Spanish
  • French
  • German
  • Advanced Placement (AP)
  • SAT
  • Medicine
  • Law
  • Engineering
d1i1m1o1n [39]
3 years ago
5

Find the distance between the pair of parallel lines. y = 2x + 4, y = 2x - 3

Mathematics
2 answers:
Oksana_A [137]3 years ago
8 0

Answer:

3.13

Step-by-step explanation:

Given :

y = 2x + 4 -------- eq1

y = 2x - 3 -------- eq2

sanity check : both equations have same slope, so we can conclude that they are both parallel to one another.

Step 1: consider equation 1, pick any random x-value and find they corresponding y-value. we pick x = -2

This gives us y = 2(-2) + 4 = 0

Hence we get a point (x,y) = (-2,0)

Step 2: express equation 2 in general form (i.e Ax + By + C = 0)

y = 2x-3 -------rearrange---> 2x - y -3 = 0

Comparing with the general form, we get A = 2, B = -1, C = -3

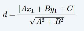
Recall that the distance between 2 parallel lines is given by the attached formula (see attached picture).

substituting the values for A, B, C and (x, y) from the previous step:

d = | (2)(-2) + (-1)(0) + (-3) |  / √(2² + (-1)²)

d = | -4 + 0 - 3 |  / √(4 + 1)

d = | -7 |  / √5

d = 7  / √5

d = 3.13

Dafna11 [192]3 years ago
4 0

Answer: d= 3.13

I hope this helps

You might be interested in
Can anyone help? 25 points
N76 [4]

Answer:

A) 85x=5865  

  x=69 Width

B)2(57)+2x=286

114+2x=286

2x=172

x=86

Step-by-step explanation:

3 0
3 years ago
Write 4x²(4x² + 4x³) in standard form.
Liono4ka [1.6K]

Answer:

16x^{5} + 16x^{4}

4 0
2 years ago
Please help me with this question
Cerrena [4.2K]

Answer:

x is 3

Step-by-step explanation:

3 0
3 years ago
Read 2 more answers
5. Which of the following inequalities could be modeled by the graph below?
user100 [1]

Answer:

The answer is C, x/-2 > -1

Step-by-step explanation:

The inequality that the graph models is x < 2.

If you want the right side to be -1, then you would have to multiply both sides with -2. When multiplying with a negative, the sign of values on both sides are switched, resulting in x/-2 > -1.

6 0
3 years ago
Plzz anyone answer correctly plz will give brainliest!!
garri49 [273]

Answer: I believe its 3, because its a slope the bottom is the shape of a square witch has all sides equal. therefore each side equals 3

Step-by-step explanation:

3 0
3 years ago
Other questions:
  • The function f(x)=x^3+2x^1/3 is a polynomial?<br><br> True<br><br> False
    12·1 answer
  • A sand box is 4/3 feet tall,13/8feet wide,and 9/2 feet long.how many cubic feet of sand will it hold?
    5·1 answer
  • Keiko determined that the coordinate points (–4, 0), (–3, –1), and (2, –6) are solutions to the following system. y = − x − 4 y
    6·1 answer
  • What multiplication equals to 108?
    14·2 answers
  • One brand of vinegar has a pH of 4.5. Another brand has a pH of 5.0. The equation for the pH of a substance is pH = –log[H+], wh
    10·2 answers
  • Dominick is training for a race. He spends 0.75 hours running each time he runs and 1.5 hours swimming each time
    13·2 answers
  • BRANLIEST TO CORRECT ANSWER!!!
    11·2 answers
  • What is 1/4(8+x+4) simplified using the distributive property
    6·2 answers
  • Anyone want to f riend me or cha t here
    6·2 answers
  • Could someone help me super super quick?
    10·2 answers
Add answer
Login
Not registered? Fast signup
Signup
Login Signup
Ask question!