1answer.
Ask question
Login Signup
Ask question
All categories
  • English
  • Mathematics
  • Social Studies
  • Business
  • History
  • Health
  • Geography
  • Biology
  • Physics
  • Chemistry
  • Computers and Technology
  • Arts
  • World Languages
  • Spanish
  • French
  • German
  • Advanced Placement (AP)
  • SAT
  • Medicine
  • Law
  • Engineering
den301095 [7]
3 years ago
5

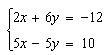
Solve the system using elimination. A. (2, 1) B. (0, –2) C. (–2, 0) D. (1, 2)

Mathematics
2 answers:
stich3 [128]3 years ago
7 0

Answer:b

Step-by-step explanation:

ValentinkaMS [17]3 years ago
4 0
2x + 6y = -12 | x 5
5x - 5y = 10 | x 6

10x + 30y = -60
30x - 30y = 60

49x = 0
x = 0

30 x 0 - 30y = 60
y = -2
You might be interested in
(1 point) Divide and simplify your answer.
VashaNatasha [74]

Answer:

18.174x

Step-by-step explanation:

5 0
3 years ago
Which of the following would be the best method for investigating the correlation between the hibernation habits of bears and th
Andre45 [30]

Answer: Observational study

Step-by-step explanation: I just took the test

4 0
3 years ago
Which rectangular equation represents the parametric equations x = 3t Superscript one-half and y = 6t?
Alekssandra [29.7K]

Answer:

B

Step-by-step explanation:

I got it right

7 0
3 years ago
SEQUENCE, PLEASE HELP!
cricket20 [7]
I think it's 7.52 and then 8.52
4 0
3 years ago
Read 2 more answers
In what direction does the function f(x)=−(14x−1)(4x+1) open? Explain.
Svetradugi [14.3K]

Answer: Direction opens downward

Step-by-step explanation:

X-Intercept: (1/14,0),(-1/4,0)

Y-Intercept: (0,1)

Find the vertex using x= -b/2a

Plug it into the vertex form = y=a(x-h)^2 +k

H,K will identify the direction.

4 0
3 years ago
Other questions:
  • Simplify <br> (0.6x^4)(0.2x^6)
    8·2 answers
  • What is the volume of the pyramid
    8·1 answer
  • Jennifer is shopping with her mom. They pay 2 dollars per pound for tomatoes. What is the constant of proportionality in the sit
    12·1 answer
  • Equation of the line parallel to the equation y = -2x - 7 that passes through the point (3, 1).
    11·2 answers
  • the perimeter of a triangle is 17 cm. the second side is twice the length of the first side and the third side is 1cm less than
    13·1 answer
  • The graph shows a probability distribution. What is P(X&lt;5)
    14·1 answer
  • Three tins, A, B and C, each contain buttons.
    8·1 answer
  • Which graph represents polynomials function f(x)=x^3+4x^2-15x-18
    9·2 answers
  • 3/4 x 8 = ? <br><br> I need help for this question.
    7·2 answers
  • The graph of p = 400 and the graph of p = 50s – 200 intersect at the point (12,400). If the equation p = 50s – 200 represents th
    9·1 answer
Add answer
Login
Not registered? Fast signup
Signup
Login Signup
Ask question!