1answer.
Ask question
Login Signup
Ask question
All categories
  • English
  • Mathematics
  • Social Studies
  • Business
  • History
  • Health
  • Geography
  • Biology
  • Physics
  • Chemistry
  • Computers and Technology
  • Arts
  • World Languages
  • Spanish
  • French
  • German
  • Advanced Placement (AP)
  • SAT
  • Medicine
  • Law
  • Engineering
LiRa [457]
3 years ago
10

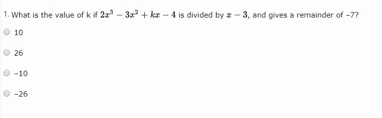
Polynomials, what is the value of k and gives the remainder of -7?

Mathematics
1 answer:
Ronch [10]3 years ago
3 0
The answer is -10 after replacing x with 3 u get that answer
You might be interested in
Which expression iWhich expression is equivalent to x + 8 + 4x + 2x for all values of x?s equivalent to x + 8 + 4x + 2x for all
NikAS [45]

Answer:

A = l * w. We can substitute the expressions for length and width into the equation for area ... values in the formula for perimeter, we will get. P = 2l + 2w. P = 2(5)+2(3) P = 10+6 ... L = 18 cm. B = 7 cm. Perimeter of rectangle = 2(length + breadth) P = 2 (L + B) ... Total time taken = Total distance walked × time taken to walk 1m.

4 0
3 years ago
X-2=3(x-4) what is the solution
Vladimir [108]
First distribute 3 to (x-4). that gives you 3x-12. Now your equation is x-2=3x-12. Now you subtract x from 3x. now you're equation is -2=2x-12. then add 12 to the left. You're final answer is 10.
8 0
4 years ago
Read 2 more answers
Plzzzzzzzzzzz helppppppp
umka21 [38]

Answer:

B

Step-by-step explanation:

B because it is the farthest away from 0.

5 0
3 years ago
Read 2 more answers
A student gets 9 out of 15 problems correct on a homework assignment.
Alex777 [14]

Answer:40%.

Since the student got 60% correct, the remaining percentage would be the part they got incorrect.

I got 60% by translating 9/15 into a decimal and moving the decimal point to create a percentage.

Hope this helps!

Step-by-step explanation:

7 0
4 years ago
What is 0.125 0.4 0.62 1.05 0.05 from least to greatest
aksik [14]

0.05

0.125

0.4

0.62

1.05

7 0
3 years ago
Other questions:
  • Factorise 15x+ 18y???
    8·2 answers
  • How much is a penny and a quarter
    12·2 answers
  • A(4,2) B(1,4) C(6,5)
    10·1 answer
  • ADV GEOM S1 See pic
    11·1 answer
  • What is the 50th term in the sequence -3n + 23
    15·1 answer
  • Given f(x) is a linear function with slope 3 and y-intercept -5, what is the equation of f(x) in standard form?
    12·1 answer
  • The equation y — 480 = – 120 (x - 1) represents the total number of kilometers, y, ben and his family have left to drive to Ben'
    15·1 answer
  • PLs help me with this problem.
    6·2 answers
  • A parabola is the set of all points that​...
    10·2 answers
  • Sandy brought 6 1/4 dozen cookies to the bake sale. Alejandro brought 1 3/4 fewer cookies than Sandy brought. Pierre brought 2 3
    7·1 answer
Add answer
Login
Not registered? Fast signup
Signup
Login Signup
Ask question!