1answer.
Ask question
Login Signup
Ask question
All categories
  • English
  • Mathematics
  • Social Studies
  • Business
  • History
  • Health
  • Geography
  • Biology
  • Physics
  • Chemistry
  • Computers and Technology
  • Arts
  • World Languages
  • Spanish
  • French
  • German
  • Advanced Placement (AP)
  • SAT
  • Medicine
  • Law
  • Engineering
Snowcat [4.5K]
4 years ago
6

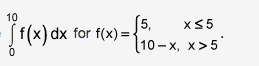
Use geometry to evaluate the integral (picture shown)

Mathematics
1 answer:
Verizon [17]4 years ago
3 0
Now.. notice the picture below, of the two functions

geometry wise, is just a rectangle and a triangle

pretty sure you know how to get those, get their areas, add them up

You might be interested in
Find the measure of each angle indicated.
Elena L [17]
C is the correct answer


good luck
8 0
3 years ago
Using no other digits except 2 and 5 write down, if possible, a three-digit multiple of 5
Nana76 [90]

Answer:

225

Step-by-step explanation:

6 0
4 years ago
Read 2 more answers
The average truck driver drives 115,000 miles each year. What is this number rounded to the nearest hundred thousand?
Helga [31]
That would be 100,000....because 115,000 is closer to 100,000 then 200,000
4 0
3 years ago
Read 2 more answers
How many 1/4 cups could you measure out of 2 and 2/4 cups
maksim [4K]
2 and 2/4 = 10/4

10/4 ÷ 1/4 = 10/4 × 4/1 = 10 cups


5 0
3 years ago
A plane flies from Springville to Brockton and then back to Springville. When there is no wind, the round trip takes 6 hours and
ch4aika [34]

Answer:

Step-by-step explanation:

Let x represent the speed of the plane in still air.

When there is no wind, the round trip takes 6 hours and 24 minutes. Converting to hours, it becomes

6 + 24/60 = 6 + 0.4 = 6.4 hours

Distance = speed × time

Distance of the round trip = 6.4x

But when there is a wind blowing from Springville to Brockton at 50 miles per hour, the trip takes 6 hours and 40 minutes. Converting 6 hours and 40 minutes, it becomes

6 + 40/60 = 6 2/3 = 20/3 hours

The total speed would be

(x - 50)miles per hour

Distance covered = 20/3(x - 50)

Therefore, since both round trips are the same distance, then,

6.4x = 20/3(x - 50)

Cross multiplying by 3, it becomes

19.2x = 20(x - 50)

19.2x = 20x - 1000

20x - 19.2x = 1000

0.8x = 1000

x = 1000/0.8 = 1250 mph

Distance covered on the round trip is

6.4x = 6 × 1250 = 7500 miles

Therefore, the distance from Springville to Brockton is

7500/2 = 3750 miles

7 0
3 years ago
Other questions:
  • If AB = 18, BC = 10, and CA = 13, list the angles of ABC in order from smallest to largest.
    11·2 answers
  • Diana has 41 stickers she put them in 7 equal groups she put as many as possible in each group she gave the leftover stickers to
    8·1 answer
  • Michael Miller is paid twice a month and had total gross earnings as of 10/15 of $116,800. His gross earnings for the period end
    7·1 answer
  • the difference between a small integar is 28 . the large integar is 3 times as great as the small . what is the small integar ?
    15·1 answer
  • There are 524 goldfish in the fish pond. They will be put in indoor tanks for the winter. If each tank holds 45 fish, how many t
    10·1 answer
  • The square shown has a perimeter of 32 units. The square is
    10·1 answer
  • The probability of eating a sugar cookie is 0/35 <br>the chance of eating a sugar cookie is ____​
    10·1 answer
  • How many solution does this graph below here​
    13·1 answer
  • Evaluate if K=3 <br> K^2 + 5= <br> I suck at math please help!!:)
    14·2 answers
  • Find the area of the triangle.
    10·1 answer
Add answer
Login
Not registered? Fast signup
Signup
Login Signup
Ask question!