1answer.
Ask question
Login Signup
Ask question
All categories
  • English
  • Mathematics
  • Social Studies
  • Business
  • History
  • Health
  • Geography
  • Biology
  • Physics
  • Chemistry
  • Computers and Technology
  • Arts
  • World Languages
  • Spanish
  • French
  • German
  • Advanced Placement (AP)
  • SAT
  • Medicine
  • Law
  • Engineering
aev [14]
3 years ago
9

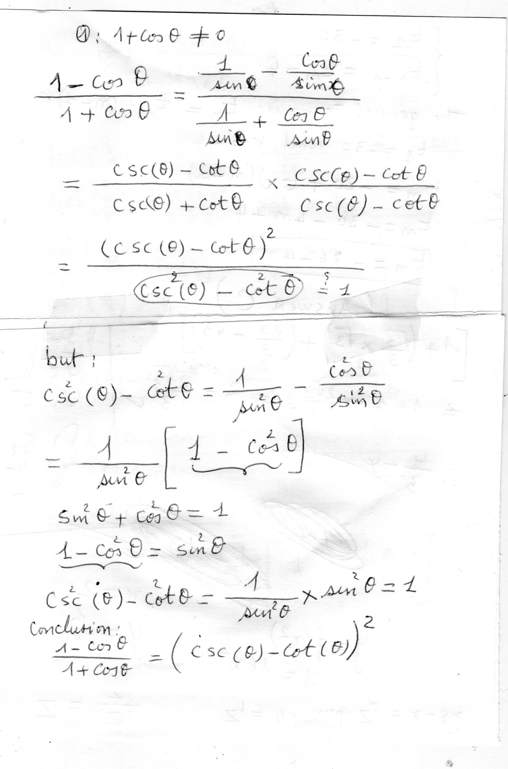
1-cos(theta)/1+cos (theta)=(csc (theta)-cot (theta))^2

Mathematics
1 answer:
attashe74 [19]3 years ago
6 0
Hello here is a solution :

You might be interested in
What is Factor tree of 495?
Masteriza [31]

Prime Factors of 495 =3, 3, 5, 11

<span>Which is the same as = 32 x 5 x 11Prime Factors Tree of 495<span><span>495 
/     \
3     165/       \
3      55/       \
5      11/       \
11      1</span></span></span>
7 0
3 years ago
Read 2 more answers
Determine the future value of a $25000 investment at an annual rate of 4.85% compounded quarterly for 6 years.
Nutka1998 [239]
 = $ 32,275.00

Equation:
A = P(1 + rt)
Calculation:
First, converting R percent to r a decimal
r = R/100 = 4.85%/100 = 0.0485 per year,
putting time into years for simplicity,
24 quarters ÷ 4 quarters/year = 6 years,
then, solving our equation

A = 25000(1 + (0.0485 × 6)) = 32275 
A = $ 32,275.00

The total amount accrued, principal plus interest,
from simple interest on a principal of $ 25,000.00
at a rate of 4.85% per year
for 6 years (24 quarters) is $ 32,275.00.
3 0
3 years ago
What is the equation of the line perpendicular to 6x-2y=3
andriy [413]

An answer to this would be y=- 1 over 3 x

3 0
3 years ago
Multiply.
icang [17]

Sorry for the delay but I answered your question and the answer is -6xsquare +11x-4

4 0
3 years ago
Read 2 more answers
The midpoint of is
Degger [83]

Answer:

The answer is 0/2

Step-by-step explanation:

The second y - the first y / the second x - the first x.

Step 1: 1 - 1 / 5 - 3

Step 2: 0 / 5 - 3

Step 3: 0 / 2

8 0
4 years ago
Other questions:
  • Given g(x) = 2x + 3, find g(-3)
    14·2 answers
  • What's the volume of a cube-shaped box with edges 6 centimeters in length? A. 216 cm³ B. 18 cm³ C. 36 cm³ D. 1,296 cm³
    5·1 answer
  • School x and y are in a comepetition. School x has 8 more points than school y and 3 times more points as school y . How many po
    14·1 answer
  • A regular hexagon rotates counterclockwise about its center. It turns through angles greater than 0° and less than or equal to 3
    6·1 answer
  • Bob can make 7 quilts with 21 yards of material. How many yards of material would be required to make 10 quilts
    13·1 answer
  • Can someone please help?
    11·2 answers
  • Please Help me i need it !!​
    5·1 answer
  • What are some ways you could break apart 7 x 9 using the distributive property
    6·1 answer
  • Which of the following lines is perpendicular to y=-2x+3?
    6·1 answer
  • HELP MEEEEEE I GIVE BRAINLIST
    15·1 answer
Add answer
Login
Not registered? Fast signup
Signup
Login Signup
Ask question!