1answer.
Ask question
Login Signup
Ask question
All categories
  • English
  • Mathematics
  • Social Studies
  • Business
  • History
  • Health
  • Geography
  • Biology
  • Physics
  • Chemistry
  • Computers and Technology
  • Arts
  • World Languages
  • Spanish
  • French
  • German
  • Advanced Placement (AP)
  • SAT
  • Medicine
  • Law
  • Engineering
dsp73
4 years ago
10

Mammals do not produce digestive enzyme B. However, sheep and cattle are two types of mammals that contain microorganisms in the

ir digestive tract that produce enzyme B.
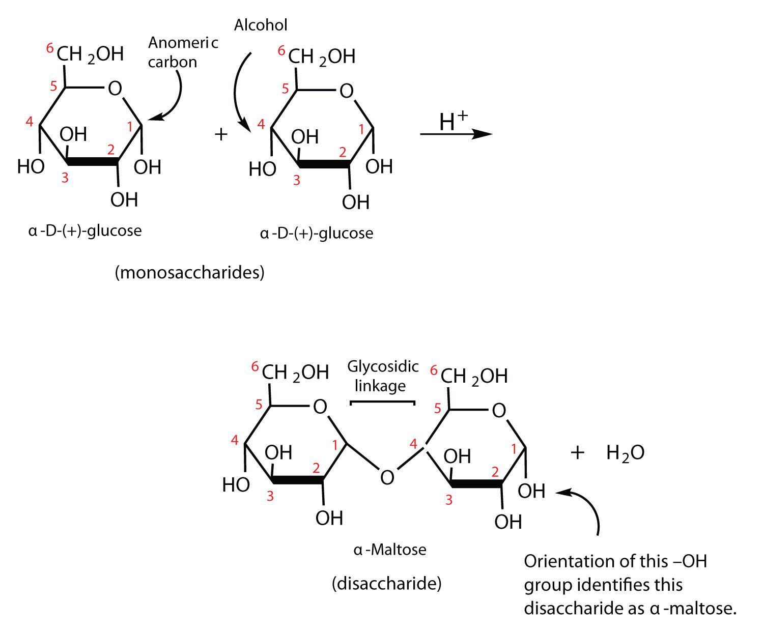
Which of the following best describes the process that adds a monosaccharide to an existing polysaccharide?
The monosaccharide is completely broken down by a specific enzyme and then the atoms are reorganized and made into a polysaccharide.

A

Ionic bonds are formed between adjacent carbon atoms of the monosaccharide and the polysaccharide by adding water (H2O) and a specific enzyme.

B

A specific enzyme removes the hydrogen (H) from the monosaccharide and the hydroxide (OH) from the polysaccharide, creating a bond between the two and creating a water (H2O) molecule.

C

A specific enzyme removes two hydroxides (OH) , one from the monosaccharide, and one from the polysaccharide, creating a bond between the two monosaccharides and creating a hydrogen peroxide ( H2O2 ) molecule.

D

Biology
2 answers:
trapecia [35]4 years ago
7 0

Answer:

B

Explanation:

This is called a dehydration reaction because water is released in the reaction for every glycosidic bond formed  between two monomers. On one end of the polysaccharide, is an available 4’ carbon a --OH and an --H. This end of the polysaccharide will bond with the 1’ carbon of the monomer to form a glycosidic bond. The 1' carbon of the monomer will lose its --H while the 4’ carbon at the end of the polymer will lose an --OH. This releases a water molecule (--H + --OH --> H₂O) which is why the process is called a dehydration reaction.  

Lady bird [3.3K]4 years ago
6 0

Answer:

The correct option is this: A specific enzyme removes the hydrogen from the monosaccharide and the hydroxide from the polysaccharide, creating a bond between the two and creating a water molecule.

Explanation:

The process by which a monosaccharide molecule is added to an existing polysaccharide in biological systems is called CONDENSATION POLYMERIZATION.

During the process of condensation, an hydrogen atom and an hydroxide molecule from the reactants come together to form a water molecule; this leads to the formation of covalent bond between the reactants.

Condensation reaction is used in living organisms to produce complex macro molecules such as carbohydrates, proteins and lipids, which are needed by the body for health growth.

Remember, condensation reaction always results in loss of water molecules and formation of more complex molecule. One example of monosaccharide is glucose while cellulose (found in plants) and starch (found in animals) are examples of polysaccharides.

You might be interested in
After the food has been chewed and lubricated, it is pushed by the tongue into the _______.
luda_lava [24]
It is pushed into the esophagus. 
6 0
3 years ago
Read 2 more answers
Which reason best explains why dead specimens must be used with transmission electron microscopes?
Vlada [557]

The TEM  is a form of electron microscope in which an image is derived from electrons that have passed through the specimen, in particular one in which the whole image is formed at once rather than by scanning. The specimen is placed in a vacuum.

7 0
3 years ago
Read 2 more answers
Pls answer this question cuz i don't know what is the answer on this one
Nitella [24]

Answer:

fnnfnendnendnrbfnenfnsjjejdbwjd

6 0
3 years ago
Muscular ______________ is defined as the ability of a muscle to generate force over and over again.
kotykmax [81]

Answer:

Muscular endurance is defined as the ability of a muscle to generate force over and over again.

Explanation:

Muscular strength is the ability of a muscle to generate the submaximal force & muscular endurance is the ability of a muscle to generate force over and over again. It is  the ability of a muscle to sustain repeated contractions against a resistance for an extended period of time .Generally increasing the muscular strength will increase the muscular  endurance. Muscular endurance is very much important for the body because it increases our ability to perform various activities without getting tired.It also reduces the risk of injury.Helps us keeping ahealthy body weight.

There are 5 types of exercises to build muscular endurance:

  • Push ups: specifically targetting the chest and arms,push ups promotes upper body endurance
  • V ups:  This exercise delivers  a major upper and lower body abdominal workout while simultaneously strengthening the back and thigh muscles
  • Calf raise
  • Bodyweight squats
  • Jogging and swimming

6 0
3 years ago
The ______ nervous system controls body functions that do not require thought.
r-ruslan [8.4K]
<span>C. Autonomic have a nice day</span>
8 0
4 years ago
Read 2 more answers
Other questions:
  • If we were to compare the cells in the plant leaves to the cells in the plant roots, we would expect the leaf cells to contain m
    6·2 answers
  • How does mitochondria involved in the process of cellular respiration?
    13·1 answer
  • What climate zone has high annual temperatures and a small yearly temperature range
    11·1 answer
  • The stop codon is recognized by
    13·1 answer
  • What happens to the chromosomes number during meiosis
    11·1 answer
  • What is the second longest stage of The cell cycle
    7·2 answers
  • The role of species has an environment is called
    12·1 answer
  • How are evolution and mutations the same and different?
    10·1 answer
  • n the Meselson-Stahl DNA replication experiment, if the cells were first grown for many generations in 15N containing media, and
    6·1 answer
  • How does nuclear power compare to coal, oil, and natural gas?
    10·1 answer
Add answer
Login
Not registered? Fast signup
Signup
Login Signup
Ask question!