Answer:
a ba c
Step-by-step explanation:
Step-by-step explanation:
y = x² - 4x + 7
the general vertex form is
y = m(x-h)² + k
to bring the part "x² -4x" to an expression of (ax + b)² we need to add 4, as "x² - 4x + 4" = (x - 2)².
and since we add 4 there, we need to subtract 4 overall again to keep the value of the expression the same :
y = x² - 4x + 4 + 7 - 4 = (x - 2)² + 7 - 4 = (x - 2)² + 3
and so, that is the vertex form :
y = (x - 2)² + 3
Answer:
The equation that represents the relationship between 'y' the total points, and 'x' the number of movies is option A;
A y = 3·x
Step-by-step explanation:
The information required in the question is an equation that represents the the relationship between the number of movie attended and the total number of points Marcy has given that she earns a fixed amount of points for attending each movie
The number of points she will earn for attending each movie = 3 points
The total number of points she will earn 'y' when she attends 'x' number of movies is given as follows;
y = 3 + 3 + 3 + ... + 3, 'x' number of times, and we can write

Therefore the equation that represents the relationship between 'y' the total points, and 'x' the number of movies is y = 3·x.
Answer:
x = 0
Step-by-step explanation:
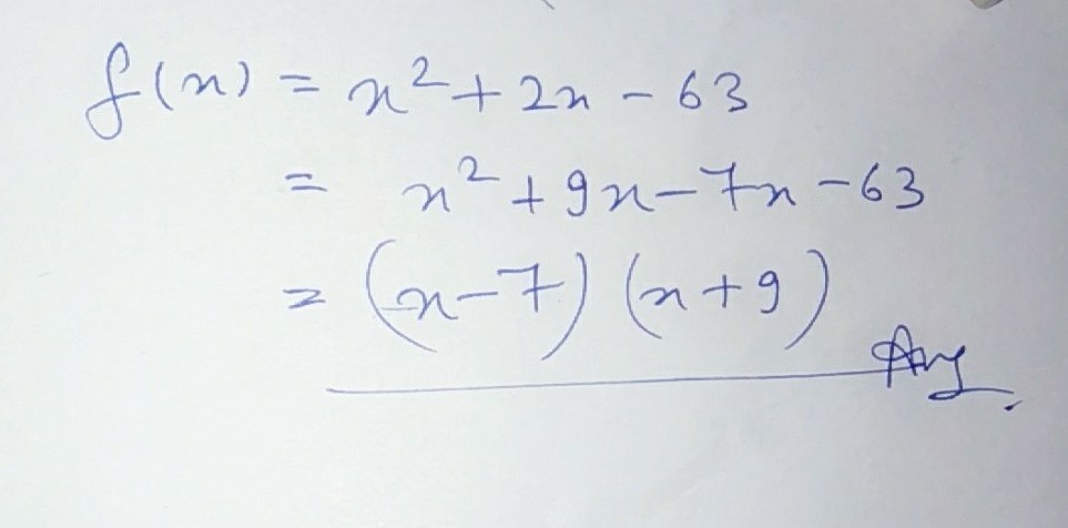
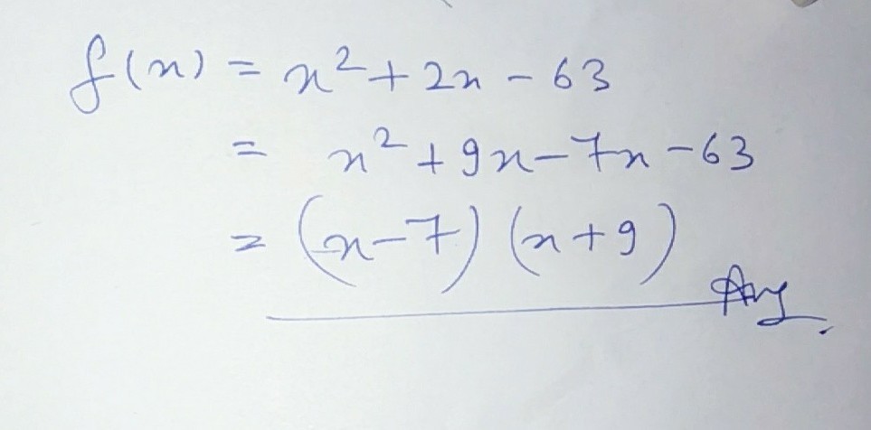
Please see the step-by-step solution in the picture attached below.
Hope this answer can help you. Have a nice day!
Answer: 
<u>Step-by-step explanation:</u>
