1answer.
Ask question
Login Signup
Ask question
All categories
  • English
  • Mathematics
  • Social Studies
  • Business
  • History
  • Health
  • Geography
  • Biology
  • Physics
  • Chemistry
  • Computers and Technology
  • Arts
  • World Languages
  • Spanish
  • French
  • German
  • Advanced Placement (AP)
  • SAT
  • Medicine
  • Law
  • Engineering
valkas [14]
4 years ago
8

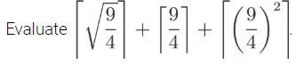
Look at the pic, thanks

Mathematics
1 answer:
Maksim231197 [3]4 years ago
5 0

Answer:

69/16 or 4 5/16(incorrect)

Step-by-step explanation:

If you take the square root of 9/4, which is 3/2, and square 9/4, which is 9/16, then get a common denominator, then you should have 24/16 + 36/16 + 9/16 = 69/16.

Correct answer in comments.

You might be interested in
Hello fellow hoomans i need halp w this
DENIUS [597]

Answer:

I will help you wit what you need

Step-by-step explanation:

4 0
3 years ago
Find the solution set.<br> x2 + 16x + 64 = 0
pashok25 [27]

Answer:

(x+8)(x+8)

Step-by-step explanation:

<em>Assuming x2 is x^2 </em>

(x+8)(x+8) = x^2 + 16x + 64

Continuation

The Zeros Would Be

x = -8

5 0
4 years ago
Name each angle in four ways.
saul85 [17]
Well, which angles are we talking about?
8 0
3 years ago
Sally invests $5000 in an account earning 8% interest, compounded continuously. After how many years will she double her investm
juin [17]
Double is double, so you can solve
.. 2 = 1*e^(.08t)
and get the correct value of t.

Taking logs,
.. ln(2) = .08t
.. ln(2)/.08 = t ≈ 8.7 . . . . years
6 0
3 years ago
Read 2 more answers
HELP PLS math equation!
borishaifa [10]

b represents rate of change


4 0
3 years ago
Read 2 more answers
Other questions:
  • Having trouble on solving for r in the equation A=2(3.14)rh
    10·1 answer
  • A frequency distribution is a tabular summary of data showing the a. number of items in several classes. b. relative percentage
    11·1 answer
  • If P(not event B) = 0.95, what is P(event B)?
    6·2 answers
  • Translate into an equation or inequality. Do not solve.
    12·2 answers
  • The radius of a circle was increased by 25 percent. By what percent did the area of the circle increase?
    6·1 answer
  • The local library lends an average of 68.24 books to readers each day .what is the average number of books Kent to readers in a
    15·1 answer
  • Please help this ones pretty simple just not sure how to do it
    6·1 answer
  • Which best describes the expression b(4-n)
    14·1 answer
  • There is a mound of g pounds of gravel in a quarry. Throughout the day, 200 pounds of gravel is added to the mound. Two orders o
    11·1 answer
  • Find the surface area of a pentagon-based pyramid with slant height of 11 m.
    5·1 answer
Add answer
Login
Not registered? Fast signup
Signup
Login Signup
Ask question!