1answer.
Ask question
Login Signup
Ask question
All categories
  • English
  • Mathematics
  • Social Studies
  • Business
  • History
  • Health
  • Geography
  • Biology
  • Physics
  • Chemistry
  • Computers and Technology
  • Arts
  • World Languages
  • Spanish
  • French
  • German
  • Advanced Placement (AP)
  • SAT
  • Medicine
  • Law
  • Engineering
olganol [36]
3 years ago
5

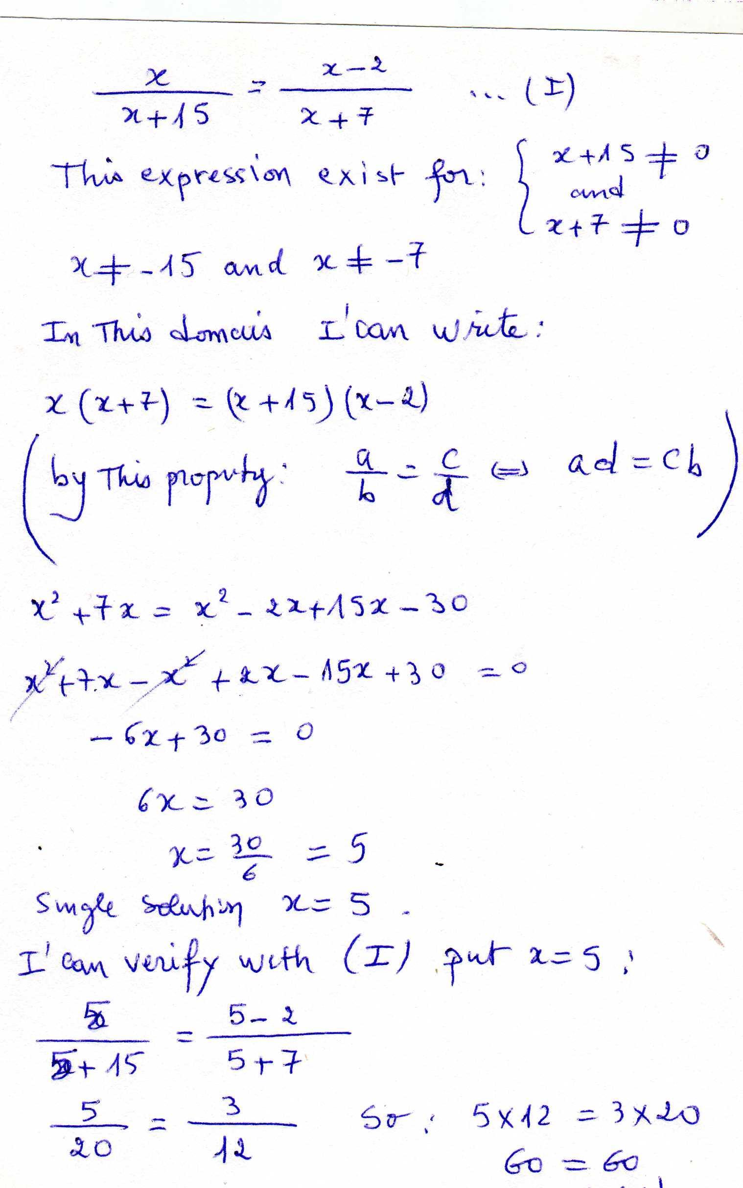
X÷(x+15)=x-2÷(x+7) How to solve for x?​

Mathematics
2 answers:
hjlf3 years ago
8 0

Answer:

hello : x = 5

Step-by-step explanation:

look this solution :

PolarNik [594]3 years ago
3 0

The answer is X = 5

See the attached picture for the solution:

You might be interested in
What is the difference in price per kg between chicken sold at $23.24/kg and turkey sold at $5.17/250 g?
Fed [463]
There are 1000 grams in 1 KILOgram.

therefore in 23.24/kg can be just written using grams as 23.24/1000, since 1kg = 1000 g.

so the price of the chicken per gram is then 23.24/1000 or $0.02324 per gram, roughly 2 and 1/3 pennies per gram.

and the turkey is 5.17/250 in grams already, that gives us $0.02068 per gram, which is roughly 2 pennies.

well, their price difference is 0.02324 - 0.02068, which is 0.00256 per gram  unit.

since we know there are 1000 grams in 1 Kg, how much is that for 1000 grams or a Kg?   0.00256 * 1000 or $2.56.
8 0
3 years ago
What are the first 50 numbers of pie?
Tomtit [17]

Answer:

3.14159265358979323846264338327950288419716939937510

Step-by-step explanation:

7 0
3 years ago
Read 2 more answers
∆ABC ˜∆EFG – Why is the notation written in a specific order?
Rashid [163]

Answer:because it shows how the shape on the right is the same as the one on the left, just after being enlarged

Step-by-step explanation:

7 0
2 years ago
What does 1/3+1/5 equal
nlexa [21]

Answer:

8/15

Step-by-step explanation:

The common denominator is 15 so you have to multiply the first number by 5 and the second number by 3 to get a denominator of 15.

Hope this helps!

8 0
3 years ago
Read 2 more answers
Please help i will give extra points
klemol [59]

Answer:

36 \div (3 \times 2) - 4 \\ 36 \div 6 - 4 \\ 6 - 4 \\  = 2

<h3><u>PLEASE</u><u> MARK</u><u> ME</u><u> BRAINLIEST</u></h3>
5 0
3 years ago
Other questions:
  • Lines AB and EB share a common point at B therefore we say that these lines
    6·1 answer
  • What is the expression for "the sum of 8 times a number and two"?
    10·1 answer
  • Find the point Q along the directed line segment that divides into the ratio 2:3
    12·1 answer
  • I need help with this<br><br><br><br><br><br><br><br><br><br><br><br><br><br><br><br><br><br> thanks
    6·1 answer
  • 123456789101112131415
    7·1 answer
  • Average rainfall in clearview is 38in
    5·1 answer
  • Can you guys answer these questions for me and explain them im superrrr confusedddddd!!!!
    8·1 answer
  • Hey! i’ll give brainliest please help
    6·2 answers
  • Which expression has a greater value 1/2 × 345 + 791 or 345 + 791
    11·1 answer
  • In a poll of Mr. Briggs’s math class, 67% of the students say that math is their favorite academic subject. The editor of the sc
    12·1 answer
Add answer
Login
Not registered? Fast signup
Signup
Login Signup
Ask question!