1answer.
Ask question
Login Signup
Ask question
All categories
  • English
  • Mathematics
  • Social Studies
  • Business
  • History
  • Health
  • Geography
  • Biology
  • Physics
  • Chemistry
  • Computers and Technology
  • Arts
  • World Languages
  • Spanish
  • French
  • German
  • Advanced Placement (AP)
  • SAT
  • Medicine
  • Law
  • Engineering
Kipish [7]
3 years ago
13

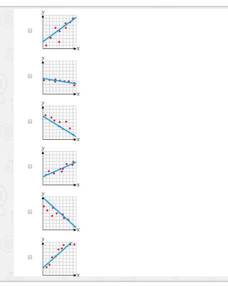
HELP PLZ Select ALL the correct answers. The scatter plots below each have a line of fit drawn for the data points. Which of the

graphs has a line of best fit for the data points?

Mathematics
2 answers:
evablogger [386]3 years ago
8 0

Answer:

2 4 6

Step-by-step explanation:

OlgaM077 [116]3 years ago
5 0
Number 2, number 4, and number 6
You might be interested in
Pentagon RSTUV is circumscribed about a circle. What is the value of x if RS = 6, ST = 9, TU = 7, UV = 15, and VR = 14?
Ulleksa [173]
I think the answer is uv=15
8 0
4 years ago
What is 90degrees - 37degrees28'17''
rosijanka [135]
53 Degrees farenheight
8 0
3 years ago
Am I right? please only answer if you are positive that you’re correct. thank you!
gavmur [86]

Answer:

yes you are correct :)))

5 0
2 years ago
The graph shows the solution to which system of inequalities?
Misha Larkins [42]

Answer:

The orange one is the answer

Step-by-step explanation:

The easiest way to find the solution is to plug in one of the coordinates that is located in the shaded area into each equation. If the equations make sense, as they do in the orange option, you have your answer.

Hope this helps you!

7 0
3 years ago
Read 2 more answers
Solve for the following equation 6x-3=15x+24
leonid [27]
6x-3=15x+24
-6x     -6x
-3=9x+24
-24     -24
-27=9x
-27/9=9x/9
-3=x
7 0
4 years ago
Other questions:
  • Alex lives 500 yards from the park. How many inches does alex live form the park?
    9·2 answers
  • 5/12, 2/3, 11/12, 7/6, 17/12 find the common difference between the terms
    15·1 answer
  • Ms.Omalley's cousin lives 1,650 miles away.Ms.Omalley's won a gift card for 100 gallons of gas.If her car can travel 35 miles on
    6·1 answer
  • Write your question here
    11·1 answer
  • Ms. Abrams receives a 4% commission plus a salary of $275.00 per week. If her total sales for one week are $2,880.00, how much d
    11·1 answer
  • Find the product. 2 1/4⋅1 2/3 Write the answer as a mixed number.
    14·2 answers
  • There are 4 grams of fiber in 1/2 cup of oats. How many grams of fiber are in 3 1/2 cups of oats?
    14·2 answers
  • Complete the point- slope equation of the line through (8, -8 and (9, 8). Y - 8 =
    7·1 answer
  • Get it right get Brainlyist
    12·1 answer
  • If i get good grades in 9th grade will it affect the classes I will receive in 9th grade?
    9·2 answers
Add answer
Login
Not registered? Fast signup
Signup
Login Signup
Ask question!