Answer:
No
Step-by-step explanation:
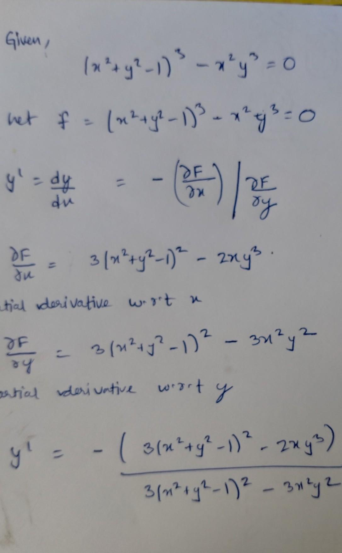
Answer:
See proof below
Step-by-step explanation:
We have to verify that if we substitute
in the equation
the equality is true.
Let's substitute first in the right hand side:

Now we use the distributive laws. Also, note that
(this also works when the power is n-2).



then the sequence solves the recurrence relation.
Answer:
-189
Step-by-step explanation:
If you continue the pattern by multiplying the term by -3, you will eventually get -189 as the 6th term