1answer.
Ask question
Login Signup
Ask question
All categories
  • English
  • Mathematics
  • Social Studies
  • Business
  • History
  • Health
  • Geography
  • Biology
  • Physics
  • Chemistry
  • Computers and Technology
  • Arts
  • World Languages
  • Spanish
  • French
  • German
  • Advanced Placement (AP)
  • SAT
  • Medicine
  • Law
  • Engineering
Neporo4naja [7]
3 years ago
5

Find the product of the following binomial (2x+2y) (2x_2y)​

Advanced Placement (AP)
2 answers:
grandymaker [24]3 years ago
5 0

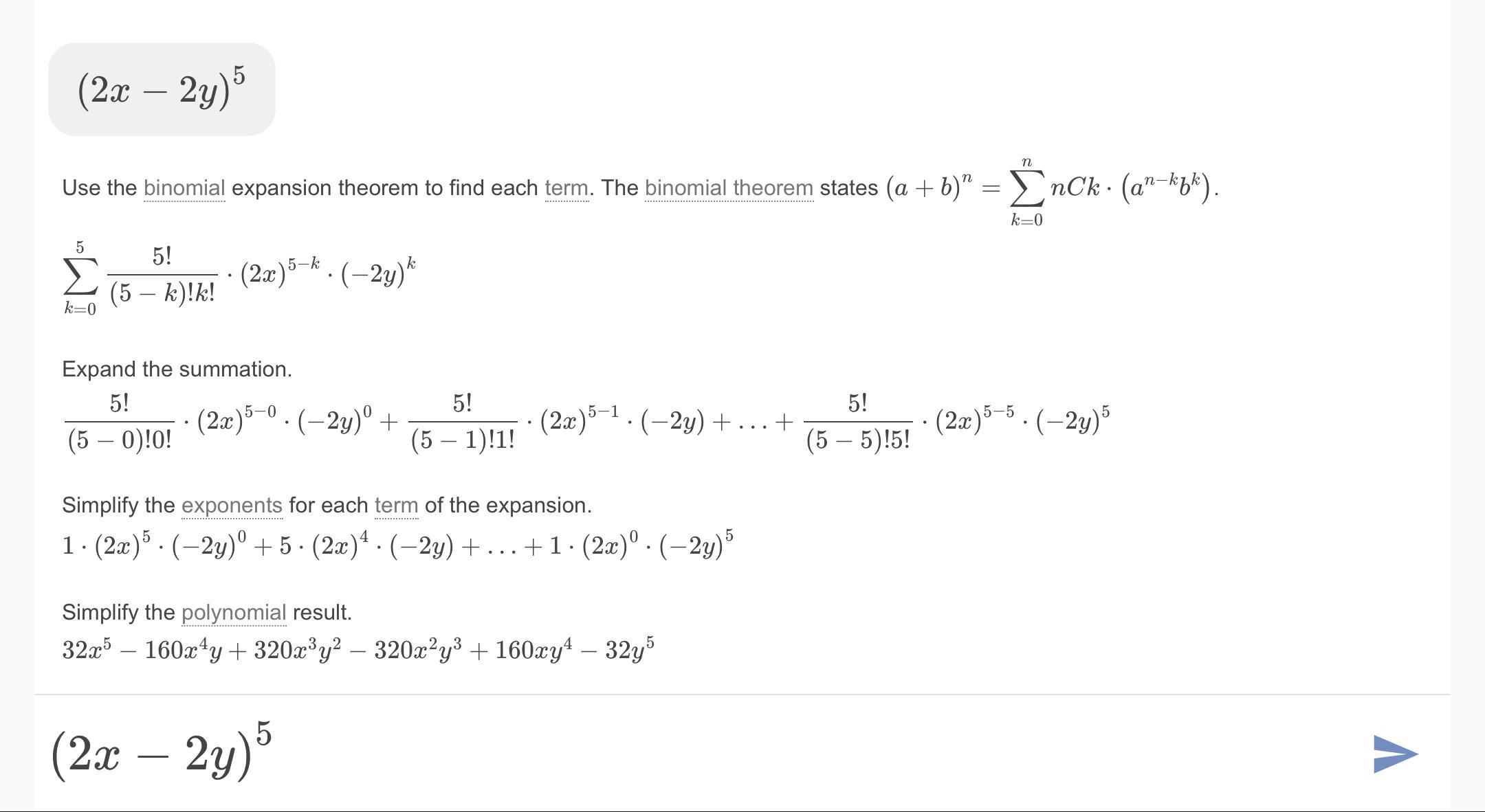
Answer: (2x-2y)5

Explanation: Use the binomial expansion theorem to find each term. The binomial theorem states

(

a

+

b

)

n

=

n

∑

k

=

0

n

C

k

⋅

(

a

n

−

k

b

k

)

(

a

+

b

)

n

=

∑

k

=

0

n

⁡

n

C

k

⋅

(

a

n

-

k

b

k

)

.

5

∑

k

=

0

5

!

(

5

−

k

)

!

k

!

⋅

(

2

x

)

5

−

k

⋅

(

−

2

y

)

k

∑

k

=

0

5

⁡

5

!

(

5

-

k

)

!

k

!

⋅

(

2

x

)

5

-

k

⋅

(

-

2

y

)

k

Expand the summation.

5

!

(

5

−

0

)

!

0

!

⋅

(

2

x

)

5

−

0

⋅

(

−

2

y

)

0

+

5

!

(

5

−

1

)

!

1

!

⋅

(

2

x

)

5

−

1

⋅

(

−

2

y

)

+

…

+

5

!

(

5

−

5

)

!

5

!

⋅

(

2

x

)

5

−

5

⋅

(

−

2

y

)

5

5

!

(

5

-

0

)

!

0

!

⋅

(

2

x

)

5

-

0

⋅

(

-

2

y

)

0

+

5

!

(

5

-

1

)

!

1

!

⋅

(

2

x

)

5

-

1

⋅

(

-

2

y

)

+

…

+

5

!

(

5

-

5

)

!

5

!

⋅

(

2

x

)

5

-

5

⋅

(

-

2

y

)

5

Simplify the exponents for each term of the expansion.

1

⋅

(

2

x

)

5

⋅

(

−

2

y

)

0

+

5

⋅

(

2

x

)

4

⋅

(

−

2

y

)

+

…

+

1

⋅

(

2

x

)

0

⋅

(

−

2

y

)

5

1

⋅

(

2

x

)

5

⋅

(

-

2

y

)

0

+

5

⋅

(

2

x

)

4

⋅

(

-

2

y

)

+

…

+

1

⋅

(

2

x

)

0

⋅

(

-

2

y

)

5

Simplify the polynomial result.

32

x

5

−

160

x

4

y

+

320

x

3

y

2

−

320

x

2

y

3

+

160

x

y

4

−

32

y

5

Aleks [24]3 years ago
4 0

Answer:

4x^2-4y^2

Explanation:

You might be interested in
APWH
katen-ka-za [31]
Yes, it is well in depth and has a line of reasoning. It is a well developed thesis
8 0
3 years ago
Self-confident people tend to be willing to take more ________, which helps build more relationships.
zaharov [31]
Risks might be the filling
6 0
3 years ago
Read 2 more answers
Instructors flogged students:
Katarina [22]
The answer is to drive out Satan.
8 0
4 years ago
A zoo has 15 monkeys all but 8 die how many are left?
fenix001 [56]
7 is the answer good luck
6 0
3 years ago
Read 2 more answers
PSYCHOLOGY QUESTION
Elenna [48]
B. Sharp mental acuity

Mental acuity refers to being mentally sharp. If you're mentally sharp, you have an excellent memory, and you find it easy to complete different tasks. Lack of sleep can effect this.
8 0
3 years ago
Read 2 more answers
Other questions:
  • Students can earn a certificate at a:
    14·1 answer
  • Which is a common problem that speakers must take care of to avoid in a conclusion to a speech
    13·1 answer
  • HELP WITH MY DRIVERS ED PLEASEEE!
    13·2 answers
  • Annaleigh looked at a line graph to see the amount of rainfall over the entire year. Why did she choose a line graph?
    13·2 answers
  • When you file your tax return______?
    13·1 answer
  • Kelly’s parents owned three major car dealerships in the greater Los Angeles area. The dealerships they only have a very success
    9·1 answer
  • Give me 5 the qualities of Manuel L. Quezon
    9·1 answer
  • An education fundraiser has been set up to collect donations for the most at-risk schools across the state of New York. A random
    13·2 answers
  • Trutttttttttttttttth or Darrrrrrrrrrrrrre
    13·1 answer
  • Which of the following is one of the first things you
    14·1 answer
Add answer
Login
Not registered? Fast signup
Signup
Login Signup
Ask question!